
Пошаговое объяснение:
Например:
log3 (log(9/16) (x^2 - 4x + 3) ) = 0
Во-первых, область определения:
{ x^2 - 4x + 3 > 0
{ log(9/16) (x^2 - 4x + 3) > 0
Решаем:
{ (x-1)(x-3) > 0
{ x^2 - 4x + 3 < 1.
Тут надо пояснение. Так как 9/16 < 1, то функция y = log(9/16) x - убывающая.
Поэтому, если логарифм > 0, то выражение под логарифмом < 1.
{ x € (-oo; 1) U (3; +oo)
{ x^2 - 4x + 2 < 0; x € (2-√2; 2+√2)
2-√2 ≈ 0,586 < 1; 2+√2 ≈ 3,414 > 3
Область определения: (2-√2; 1) U (3; 2+√2)
Теперь решаем само уравнение.
Логарифм log(a) 1 = 0 при любом основании а, если а > 0 и а ≠ 1.
Значит:
log(9/16) (x^2 - 4x + 3) = 1
x^2 - 4x + 3 = 9/16
16x^2 - 64x + 48 - 9 = 0
16x^2 - 64x + 39 = 0
D/4 = 32^2 - 16*39 = 1024 - 624 = 400 = 20^2
x1 = (32 - 20)/16 = 12/16 = 0,75 € (2-√2; 1)
x2 = (32 + 20)/16 = 52/16 = 3,25 € (3; 2+√2)
ответ: x1 = 0,75; x2 = 3,25
Точно также решаются остальные.
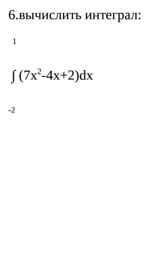
S= (7x³/3-2x²+2x)|от -2 до 1|=
(7/3+56/3)-(2-4)+(2+4)=29-ответ