1280m² ограждение для этого участка земли от лесных животных.
Пошаговое объяснение:
- длина участка

- ограждение для этого участка земли от лесных животных
Вроде так)
6 т 8 ц < 7 т 80 кг
50 км 100 м > 5100 м
25 ∙ 10 + 25 ∙ 7 = 17 ∙ 25
120 : 4 < 2 ∙ 3 ∙ 6
6 м 59 см > 5 м 55 см
35 ц < 5 т 3 ц
28 ∙ 6 ∙ 10 = 28 ∙ 60
Пошаговое объяснение:
6 т 8 ц = 6∙1000 кг + 8∙100 кг =6800 кг < 7 т 80 кг = 7∙1000 кг + 80 кг =7080 кг
50 км 100 м = 50 ∙ 1000 м + 100 м = 50100 м > 5100 м
25 ∙ 10 + 25 ∙ 7 = 25 · (10 + 7) = 25 · 17 = 17 ∙ 25
120 : 4 = 30 < 2 ∙ 3 ∙ 6 = 36
6 м 59 см = 6∙100 см + 59 см = 659 см > 5 м 55 см = 5∙100 см + 55 см = 555 см
35 ц = 35 ∙ 100 кг = 3500 кг < 5 т 3 ц = 5 ∙ 1000 кг + 3 ∙ 100 кг = 5300 кг
28 ∙ 6 ∙ 10 = 28 ∙ 60 = 28 ∙ 60
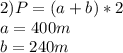
1) 240:60*100 = 400 (длина участка)
2) (240+400)*2 = 640*2 = 1280 (м) - (общая длина забора)
ответ: 1280 м.