М
Молодежь
К
Компьютеры-и-электроника
Д
Дом-и-сад
С
Стиль-и-уход-за-собой
П
Праздники-и-традиции
Т
Транспорт
П
Путешествия
С
Семейная-жизнь
Ф
Философия-и-религия
Б
Без категории
М
Мир-работы
Х
Хобби-и-рукоделие
И
Искусство-и-развлечения
В
Взаимоотношения
З
Здоровье
К
Кулинария-и-гостеприимство
Ф
Финансы-и-бизнес
П
Питомцы-и-животные
О
Образование
О
Образование-и-коммуникации
Zero234
Zero234
18.09.2021 15:18 •  Математика

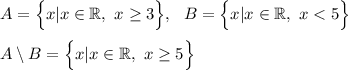
Найти разность двух множеств: {x| x  R, x=>3 },{x| x  R, x<5 }

👇
Ответ:
Nastyarainb
Nastyarainb
18.09.2021

A=\Big\{x| x\in \mathbb{R},~ x\geq 3\Big\},~~ B=\Big\{x|x\in \mathbb{R},~ x

4,6(26 оценок)
Открыть все ответы
Ответ:
hehegeuecegd
hehegeuecegd
18.09.2021
Если подбором, то можно мыслить так:
число рублей у Оли должно делиться без остатка на 4 и быть меньше 15.
Поэтому у нее може быть 4 рубля, или 8 рублей, или 12 рублей.
Подбираем: 1) если 4 рубля, то тогда карандаш стоит 4 :4 = 1 рубль, а альбом 4 рубля. 4 + 1 не равно 15. Значит, не подходит.
2) Если 8 рублей, то тогда карандаш стоит 8 : 4 = 2 рубля, а альбом 8 рублей.
8 + 2 не равно 15. Значит, тоже не подходит.
3) Если 12 рублей, то тогда карандаш стоит 12 : 4 = 3 рубля, а альбом 12 рублей.
12 + 3 =15.
4,5(67 оценок)
Ответ:
Лтвет
Лтвет
18.09.2021
Если подбором, то можно мыслить так:
число рублей у Оли должно делиться без остатка на 4 и быть меньше 15.
Поэтому у нее може быть 4 рубля, или 8 рублей, или 12 рублей.
Подбираем: 1) если 4 рубля, то тогда карандаш стоит 4 :4 = 1 рубль, а альбом 4 рубля. 4 + 1 не равно 15. Значит, не подходит.
2) Если 8 рублей, то тогда карандаш стоит 8 : 4 = 2 рубля, а альбом 8 рублей.
8 + 2 не равно 15. Значит, тоже не подходит.
3) Если 12 рублей, то тогда карандаш стоит 12 : 4 = 3 рубля, а альбом 12 рублей.
12 + 3 =15.
4,5(67 оценок)
Новые ответы от MOGZ: Математика
logo
Вход Регистрация
Что ты хочешь узнать?
Спроси Mozg
Открыть лучший ответ