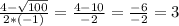
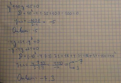
1.
y² + 10y + 25 = 0
Найдем дискриминант квадратного уравнения:
D = b² - 4ac = 10² - 4·1·25 = 100 - 100 = 0
Так как дискриминант равен нулю то, квадратное уравнение имеет один действительный корень:
y =
ответ: y= -5
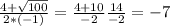
2.
4y+21 -y² = 0
Найдем дискриминант квадратного уравнения:
D = b²- 4ac = (-4)² - 4·(-1)·21 = 16 + 84 = 100
Так как дискриминант больше нуля то, квадратное уравнение имеет два действительных корня:
y₁ = 
y₂ = 
ответ: у₁=3; у₂= -7
Статья посвящена состоянию и развитию математики в Древнем Египте в период примерно с XXX по III век до н. э.
Древнейшие древнеегипетские математические тексты относятся к началу II тысячелетия до н. э. Математика тогда использовалась в астрономии, мореплавании, землемерии, при строительстве зданий, плотин, каналов и военных укреплений. Денежных расчётов, как и самих денег, в Египте не было. Египтяне писали на папирусе, который сохраняется плохо, и поэтому наши знания о математике Египта существенно меньше, чем о математике Вавилона или Греции. Вероятно, она была развита лучше, чем можно представить, исходя из дошедших до нас документов — известно[1], что греческие математики учились у египтян[2].
Нам ничего не известно о развитии математических знаний в Египте как в более древние, так и в более поздние времена. После воцарения Птолемеев начинается чрезвычайно плодотворный синтез египетской и греческой культур.
Задача 6. Отметки
В дневнике Поли в текущей четверти стоит 16 отметок по математике; в дневнике Тани — такое же число отметок по тому же предмету. Поля получила пятёрок столько же, сколько Таня четвёрок, четвёрок столько же, сколько Таня троек, троек столько же, сколько Таня двоек, и двоек столько же, сколько Таня – пятёрок. При этом средний в этой четверти у девочек одинаковый. Сколько двоек получила Поля?
Задача 7. Вычёркиваем цифры
Сколько существует 2015-значных чисел таких, что при вычёркивании его любой одной цифры получается 2014-значное число, и это 2014-значное число является делителем исходного числа (Напомним, что многозначное число не может начинаться с нуля и что на ноль ничего не делится, кроме, быть может, нуля)?
Задача 8. Тупые углы
На плоскости из одной точки отложено 24 лучей. Какое наибольшее количество тупых углов могут образовывать пары этих лучей?
Задача 10. Лестница
Дана клетчатая фигура в виде лестницы, содержащей n ступенек (на рисунке приведён пример для n=11).
Сколько значений n, удовлетворяющих неравенству 300<n<1600, для которых данную лестницу можно разрезать на уголки из трёх клеток?
Уголок из трёх клеток — клетчатая фигура, состоящая из трёх клеток, одна из которых имеет общие границы с двумя другими, причём эти общие границы являются соседними сторонами
ответы с решениями на фотографии.