

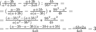
3
Пошаговое объяснение:
1) (934 - 500) 23 + (2004 - 999) 17 - 58.15 = 9982+ 17085 = 27067
2) (4357 + 38 417) 201 -4 + 59 (1128-699) = 8597570 + 25311 = 8622881
3) (334 + 518) ·23 + (2024-987):17-48.13 = 19596 + 61 - 48,13 = 61 - 12,87 = 48,13
4) (1338 + 58 487) ·123 - 244 + 38 (1028-609) = 7358475 - 244 + 15922 =7374153
5) (930 - 480)-16 + (2004 - 999) ·17-18.101 = 450-16+17085 - 18,101 = 17500,899
6) (4357 + 38 417) ·201 -4 + 59 (1128-699) = 8597574 - 4 + 25311 = 86228811
7) (84 + 418) · 13 + (1949 - 408): 23 -455:5 = 6526 + 67 - 91 = 6502
8) (1376 + 487):9-27 + 28 (1028-229)= 207 - 27 + 22372 = 22552
9) (2222-111):11 + (555 + 666): 111 + 1111= 2111: 11 +1221:111 = 202,909091 = 202,9
10) 256:32:4.2 + 256:32:4.2) + 256:32:4)-2= 1,9047619 + 1,9047619 + 1,9047619 -2 = 5,7142857 - 2 = 3,7142857 = 3,7