

1
Пошаговое объяснение:
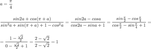
Упростим выражение
cos(π+α)= по формуле, Так как π - это горизонтальная ось, то функция косинус остается прежней. Так как угол π+α∈III четверти, где косинус отрицательный, то знак косинуса меняем на противоположный
cos(π+α)=(-cosα).
Точно такие же манипуляции с sin(π+α). так как π - это горизонтальная ось, то функция синус остается прежней. Так как угол π+α∈III четверти, где синус отрицательный, то знак синуса меняем на противоположный.
sin(π+α)=(-sinα)

Подставляем
.

1 разлил, после этого ему 6 ребят налили по части.
Стало у него 6 частей, и столько же и было.
2 разлил после 1, после этого ему 5 ребят налили по части.
Стало у него 5 частей, и столько же и было.
Тоже самое, 3, 4, 5 и 6.
7 разлил после 6, и осталось у него 0. И столько же и было.
Значит, у 1 было 6 частей, у 2 было 5 частей, и т.д., у 7 было 0.
Всего 6+5+4+3+2+1+0 = 21 часть = 3 литра.
1 часть = 3/21 = 1/7 л.
У 1 было 6/7 л, у 2 было 5/7 л, у 3 было 4/7 л, у 4 было 3/7 л, у 5 было 2/7 л, у 6 было 1/7 л, у 7 было 0.
Вывод такой: после последнего переливания у всех осталось столько чая, сколько было в самом начале. Последним разольёт весь свой чай седьмой мальчик, а значит и в начале у него было 0.
У предпоследнего мальчика чая в начале должно быть меньше всех, потому что он предпоследний выльет весь свой чай и ему достанется всего лишь одна порция чая от переливания последнего.
У первого мальчика в начале чая должно быть больше всех, потому что после того как он выльет свой чай, за последующие 6 разливаний ему достанется больше всех чая.
Значит количество чая от первого мальчика к последнему будет убывать. Разница чая между каждым мальчиком и последующим = х.
Начинаем считать от последнего к первому.
0 +x= ... +x= ... +x= ... +x= ... +x= ... +x= ...
1). 0+x=x; 2). x+x=2x; 3). 2x+x=3x; 4). 3x+x=4x; 5). 4x+x=5x; 6). 5x+x=6x.
Значит у первого мальчика чая 6х литров, у второго 5х, ... , у шестого х литров, у последнего седьмого 0 литров.
То есть 6х + 5х + 4х + 3х + 2х + х + 0 = 3;
21x = 3; x = 1/7
ответ: у первого 6/7 литра, у второго 5/7 литра, у третьего 4/7 литра, у четвёртого 3/7 литра, у пятого 2/7 литра, у шестого 1/7 литра, у седьмого 0 литров.
(Для проверки смотри приложение)