М
Молодежь
К
Компьютеры-и-электроника
Д
Дом-и-сад
С
Стиль-и-уход-за-собой
П
Праздники-и-традиции
Т
Транспорт
П
Путешествия
С
Семейная-жизнь
Ф
Философия-и-религия
Б
Без категории
М
Мир-работы
Х
Хобби-и-рукоделие
И
Искусство-и-развлечения
В
Взаимоотношения
З
Здоровье
К
Кулинария-и-гостеприимство
Ф
Финансы-и-бизнес
П
Питомцы-и-животные
О
Образование
О
Образование-и-коммуникации
hdhdydjsh
hdhdydjsh
10.12.2020 13:32 •  Математика

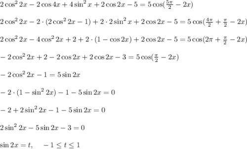
2cos²2x-2cos4x+4sin²x+2cos2x-5=5cos(5pi/2-2x)​
Решите

👇
Ответ:
gromalex201
gromalex201
10.12.2020

(-1)^{n+1} \cdot \frac{\pi}{12} +\frac{\pi n}{2} ,~~n\in Z

Пошаговое объяснение:

2\cos^2{2x}-2\cos4x+4\sin^2{x}+2\cos{2x}-5=5\cos(\frac{5\pi}{2}-2x) \\ \\ 2\cos^2{2x}-2\cdot (2\cos^2{2x}-1)+2\cdot 2\sin^2{x}+2\cos{2x}-5=5\cos(\frac{4\pi}{2}+\frac{\pi}{2}-2x) \\ \\2\cos^2{2x}-4\cos^2{2x}+2+2\cdot (1-\cos{2x})+2\cos{2x}-5=5\cos(2\pi+\frac{\pi}{2}-2x) \\ \\-2\cos^2{2x}+2-2\cos{2x}+2\cos{2x}-3=5\cos(\frac{\pi}{2}-2x) \\ \\-2\cos^2{2x}-1=5\sin{2x} \\ \\-2\cdot(1-\sin^2{2x})-1-5\sin{2x}=0 \\ \\-2+2\sin^2{2x}-1-5\sin{2x}=0 \\ \\ 2\sin^2{2x}-5\sin{2x}-3=0 \\ \\ \sin{2x}=t,~~~-1\leq t\leq 1

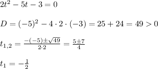
2t^2-5t-3=0 \\ \\ D=(-5)^2-4\cdot 2\cdot(-3)=25+24=490 \\ \\ t_{1,2}=\frac{-(-5)\pm \sqrt{49}}{2\cdot 2} =\frac{5\pm 7}{4} \\ \\ t_1=-\frac{1}{2}

t_2=2-не подходит, так как -1\leq t \leq 1

\sin{2x}=-\frac{1}{2} \\ \\ 2x=(-1)^n \cdot \arcsin(-\frac{1}{2} )+\pi n,~~n\in Z\\ \\ 2x=(-1)^n \cdot (-\arcsin \frac{1}{2} )+\pi n,~~n\in Z \\ \\ 2x=(-1)^n \cdot (- \frac{\pi}{6} )+\pi n,~~n\in Z \\ \\ 2x=(-1)^{n+1} \cdot \frac{\pi}{6} +\pi n,~~n\in Z \\ \\ x=(-1)^{n+1} \cdot \frac{\pi}{12} +\frac{\pi n}{2} ,~~n\in Z

4,7(31 оценок)
Открыть все ответы
Ответ:
iphoneX10
iphoneX10
10.12.2020

Представим города, как вершины графа, а дороги, как рёбра.

Изначально у нас был полный граф на 30 вершин, следовательно, в нём было (30 * 29 : 2 = 435) рёбер. Минимальный связный граф - дерево. В дереве на 30-ти вершинах будет 29 рёбер, следовательно, убрать можно не более (435 - 29 = 406) рёбер. Пример - уберём все рёбра из полного графа на 29 вершин, тогда уберётся (29 * 28 : 2 = 406) рёбер, а из любой вершины можно будет добраться до другой через 30-ую вершину, которую мы не трогали.

ответ: 406 дорог.

4,6(35 оценок)
Ответ:
mugivara9820p09uk7
mugivara9820p09uk7
10.12.2020

Представим города, как вершины графа, а дороги, как рёбра.

Изначально у нас был полный граф на 30 вершин, следовательно, в нём было (30 * 29 : 2 = 435) рёбер. Минимальный связный граф - дерево. В дереве на 30-ти вершинах будет 29 рёбер, следовательно, убрать можно не более (435 - 29 = 406) рёбер. Пример - уберём все рёбра из полного графа на 29 вершин, тогда уберётся (29 * 28 : 2 = 406) рёбер, а из любой вершины можно будет добраться до другой через 30-ую вершину, которую мы не трогали.

ответ: 406 дорог.

4,6(61 оценок)
Это интересно:
Новые ответы от MOGZ: Математика
logo
Вход Регистрация
Что ты хочешь узнать?
Спроси Mozg
Открыть лучший ответ