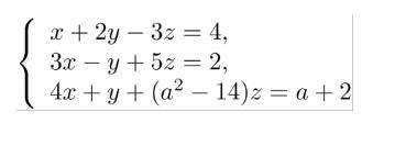
Выразим из первого и второго уравнения y и z через x. Домножим первое на 5, второе на 3 и сложим:
Теперь домножим второе на 2 и сложим:
y и z линейно зависят от x, то есть на каждый найденный x приходится ровно один y и ровно один z. Значит, если подставит в третье уравнение y и z, оно должно иметь несколько решений относительно x. Также раскроем скобки и сгруппируем всё, что с х, в одной стороне, а остальное — в другой:
Если 16 - a² = 0 ⇔ a = ±4:
При a = 4 0·x = 0 — бесконечно много решений, подходит.
532184( сотни 184) стоит одна сотня значит надо уменьшить на 100. )едениц тысяч( разряд ед. тысяч 2184) там стоит две тысячи значит уменьшить надо на 2000 или 1000 ( на одну тоже число изменится а если возьмешь меньше или больше, то изменится число и других едениц) в)десятков тысяч ( разряд дес. тыс 32184) там стоит 3 десятка тысяч значит уменьшить на 30000, или 20000, или 10000. г)сотен тысяч( разряд сот.тыс 532184) там стоит 5 сотен тысяч значит уменьшить можно на 500000 или 400000 или 300000 или 200000 или 100000.
А) 532184(разряд сотен 184) там стоит одна сотня значит и уменьшить надо на 100. б)едениц тысяч( разряд ед. тысяч 2184) там стоит две тысячи значит уменьшить надо на 2000 или 1000 ( на одну тоже число изменится а если возьмешь меньше или больше, то изменится число и других едениц) в)десятков тысяч ( разряд дес. тыс 32184) там стоит 3 десятка тысяч значит уменьшить на 30000, или 20000, или 10000. г)сотен тысяч( разряд сот.тыс 532184) там стоит 5 сотен тысяч значит уменьшить можно на 500000 или 400000 или 300000 или 200000 или 100000.
4
Пошаговое объяснение:
Выразим из первого и второго уравнения y и z через x. Домножим первое на 5, второе на 3 и сложим:
Теперь домножим второе на 2 и сложим:
y и z линейно зависят от x, то есть на каждый найденный x приходится ровно один y и ровно один z. Значит, если подставит в третье уравнение y и z, оно должно иметь несколько решений относительно x. Также раскроем скобки и сгруппируем всё, что с х, в одной стороне, а остальное — в другой:
Если 16 - a² = 0 ⇔ a = ±4:
При a = 4 0·x = 0 — бесконечно много решений, подходит.
При a = -4 0·x = -8 — решений нет, не подходит.
При всех остальных a:
Каждый a задаёт ровно один x, что не подходит.