
пусть х км в первый день
х + 10 км - во второй день
( х + 10 ) + 10 = х + 10 + 10 = х + 20 км - в третий день
х + х + 10 + х + 20 = 111
3х + 30 = 111
3х = 111 - 30
3х = 81
х = 81 : 3
х = 27
27 км - первый день
27 + 10 = 37 км - второй день
37 + 10 = 47 км - третий день
47 + 10 = 57 км - четвертый день
57 + 10 = 67 км - пятый день
ответ: 67 км
проверка:
27 + 37 + 47 = 111 км - за три дня, верно.
км - первый день
+ 10 км - второй день
+ 10 км + 10 км - третий день
111 - 30 = 81 км - уравняли три дня
81 : 3 = 27 км - первый день
27 + 10 = 37 км - второй день
37 + 10 = 47 км - третий день
47 + 10 = 57 км - четвертый день
57 + 10 = 67 км - пятый день
Школьники собрали всего 2100 кг картофеля, причем до обеда было собрано в 2 раза больше, чем после обеда. Сколько килограммов картофеля собрали школьники после обеда?
В условие задачи входят величины: масса картофеля, собранного до обеда, масса картофеля, собранного после обеда, общая масса собранного картофеля.
Масса картофеля, собранного после обеда, меньше. Ее и принимают за х. Тогда масса картофеля, собранного до обеда, равна 2х кг.
2100 – сумма величин, так как в первой фразе говорится, что всего собрали 2100 кг. Задача на суммирование, составляется уравнение: 2х + х = 2100. Упростив, получим: 3х = 2100, где х = 700. Так как через х обозначили массу, собранную после обеда, то мы ответили на поставленный в задаче вопрос.
ответ: 700 кг картофеля собрали после обеда.
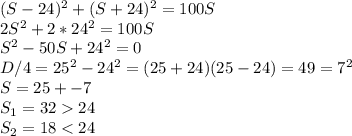
ответ: 32
Пошаговое объяснение:
Смотрите рисунок.
Пусть сторона квадрата равна
, тогда площадь квадрата
По теореме косинусов, учитывая, что
имеем:
Поскольку угол
- острый, должно быть выполнено неравенство:
Преобразуем:
Сложим оба уравнения, учитывая основное тригонометрическое тождество:
Таким образом :