М
Молодежь
К
Компьютеры-и-электроника
Д
Дом-и-сад
С
Стиль-и-уход-за-собой
П
Праздники-и-традиции
Т
Транспорт
П
Путешествия
С
Семейная-жизнь
Ф
Философия-и-религия
Б
Без категории
М
Мир-работы
Х
Хобби-и-рукоделие
И
Искусство-и-развлечения
В
Взаимоотношения
З
Здоровье
К
Кулинария-и-гостеприимство
Ф
Финансы-и-бизнес
П
Питомцы-и-животные
О
Образование
О
Образование-и-коммуникации
влада12342
влада12342
18.12.2020 07:06 •  Математика

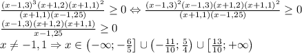
Решите неравенство ((x-1,3)^3(x+1,2)(x+1,1)^2)/((x+1,1)(x-1,25))≥0.

👇
Ответ:
grandx04
grandx04
18.12.2020

\frac{\left ( x-1,3 \right )^3(x+1,2)(x+1,1)^2}{(x+1,1)(x-1,25)}\geq 0\Leftrightarrow \frac{(x-1,3)^2(x-1,3)(x+1,2)(x+1,1)^2}{(x+1,1)(x-1,25)}\geq 0\\\frac{(x-1,3)(x+1,2)(x+1,1)}{x-1,25}\geq 0\\x\neq -1,1\Rightarrow x\in \left ( -\infty ;-\frac{6}{5} \right ]\cup \left ( -\frac{11}{10};\frac{5}{4} \right )\cup \left [ \frac{13}{10};+\infty \right )

4,4(42 оценок)
Открыть все ответы
Ответ:
Tcgdfh
Tcgdfh
18.12.2020

Пошаговое объяснение:

Признак делимости на 9: Число делится на 9 тогда и только тогда, когда его сумма цифр делится на 9.

Признак делимости на 3: Число делится на 3 тогда и только тогда, когда его сумма цифр делится на 3.

Пусть на доске записано некоторое натуральное число. По условию к нему двумя приписать цифру справа так, чтобы полученное число делилось на 9. Пусть сумма цифр числа равно S.

Рассмотрим случаи:

Случай-1. Число не делится на 9, тогда и сумма цифр S не делится на 9, то есть остаток от деления числа S больше нуля: S=k·9+A, где k - целое не отрицательное число, А остаток от деления и 0<A<9. Если к остатке прибавить любую цифру В (В цифра, то есть 0≤В≤9) получим неравенство

0<A+В<9+В≤18 или 0<A+В<18

Поэтому к нему можно приписать только одну цифру В так, чтобы S+В делилась на 9. По условию можно двумя приписать, что означает не этот случай.

Случай-2. Число делится на 9, тогда и сумма цифр S делится на 9, то есть остаток от деления числа S равен нулю: S=k·9+0, где k - целое не отрицательное число. Так как k·9 делиться на 9, то если к нему прибавить любую цифру В (В цифра, то есть 0≤В≤9) получим k·9+В и это число делится на 9, если В=0 или В=9. Поэтому по условию именно этот случай имеется в виду.

В таком случае, имея в виду то, что 9=3² перепишем сумму цифр числа: S=k·9=m·3, где m - натуральное число. Если к нему прибавить любую цифру В (В цифра, то есть 0≤В≤9) получим m·3+В и это число делится на 3, если В делится на 3. Поэтому цифра В может быть только цифрами 0, 3, 6 и  9.

ответ

4,5(72 оценок)
Ответ:
okorfeda
okorfeda
18.12.2020
Мальчик стоит на первой ступени лестницы, в которой 20 ступеней. Сколько ступеней нужно пройти мальчику чтобы подняться на последнюю.

Стоит на 1й! Уже на неё не надо ставать
Всего=20ст
20-1=19 ступеней нужно пройти

сколько шагов нужно сделать мальчику, чтобы подняться на последнюю ступень, если он будет подниматься через ступень.

Стоит на 1й! Шаг будет 2ступени
1я, 2я не становится, 3я ставать

Поднимаемся до 20й

1+2=3ст первый шаг
3+2=5ст второй шаг
5+2=7ст третий шаг
7+2=9ст четвёртый шаг
9+2=11ст пятый шаг
11+2=13ст шестой шаг
13+2=15ст седьмой шаг
15+2=17ст восьмой шаг
17+2=19ст девятый шаг
Осталась 20я ступенька
19+1=20ст надо ещё десятый шаг на неё

20ст -1=19ст пройти по 2ст, нечетное число , значит шагов будет +1, потому что на 20ю станет тоже
2+2+2+2+2+2+2+2+2+2= 20ст 10раз


2. Бревно хотят распилить на 20 частей. Сколько распилов нужно будет сделать?

Распилов всегда на 1 меньше в бревне, края уже есть
20-1=19распилов надо

| распил 19раз
_ кусок бревна 20шт
_|_|_|_|_|_|_|_|_|_|_|_|_|_|_|_|_|_|_|_

3. Вдоль всей тропинки поставили 20 колышков на расстоянии 1 см. друг от друга. Какова длина тропинки? С описанием решения. Первый класс деление и умножение не проходили.

Колышки на краях будут, значит колышков больше чем расстояний на один.
20-1=19см длина тропинки

| колышек 20шт
_ расстояние 19раз по 1см
|_|_|_|_|_|_|_|_|_|_|_|_|_|_|_|_|_|_|_|
4,4(73 оценок)
Это интересно:
Новые ответы от MOGZ: Математика
logo
Вход Регистрация
Что ты хочешь узнать?
Спроси Mozg
Открыть лучший ответ