М
Молодежь
К
Компьютеры-и-электроника
Д
Дом-и-сад
С
Стиль-и-уход-за-собой
П
Праздники-и-традиции
Т
Транспорт
П
Путешествия
С
Семейная-жизнь
Ф
Философия-и-религия
Б
Без категории
М
Мир-работы
Х
Хобби-и-рукоделие
И
Искусство-и-развлечения
В
Взаимоотношения
З
Здоровье
К
Кулинария-и-гостеприимство
Ф
Финансы-и-бизнес
П
Питомцы-и-животные
О
Образование
О
Образование-и-коммуникации
mansurmusaev91
mansurmusaev91
03.03.2020 00:27 •  Математика

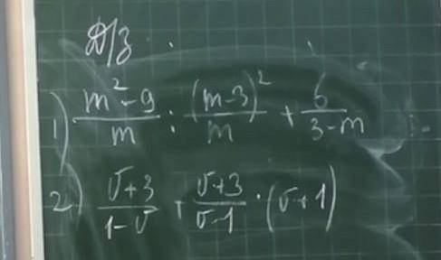
Решите уравнение m2-9/m : (m-3)2+b/3-m​


Решите уравнение m2-9/m : (m-3)2+b/3-m​

👇
Открыть все ответы
Ответ:
alyasen2006
alyasen2006
03.03.2020

120  =  2³  ·  3  ·  5

300  =  2²  ·  3  ·  5²

100  =  2²  ·  5²

наименьшее общее кратное  =  2³  ·  3  ·  5²  = 600

480  =  2^5  ·  3  ·  5

216  =  2³  ·  3³

144  =  2^4  ·  3²

наименьшее общее кратное  =  2^5  ·  3³  ·  5  = 4320

105  =  3  ·  5  ·  7

350  =  2  ·  5²  ·  7

140  =  2²  ·  5  ·  7

наименьшее общее кратное  =  3  ·  5²  ·  7  ·  2²  = 2100

280  =  2³  ·  5  ·  7

140  =  2²  ·  5  ·  7

224  =  2^5  ·  7

наименьшее общее кратное  =  2^5  ·  5  ·  7  = 1120

подробнее - на -

4,7(74 оценок)
Ответ:
28ByaKa28
28ByaKa28
03.03.2020
Пусть х лет сейчас сестре. Тогда три года назад ей было (х-3) года. А брату, поскольку он был в 4 раза старше ее, три года назад было (4(х-3)) года. То есть сейчас ему (4(х-3)+3) года.
Через 5 лет сестре будет (х+5) лет. Брату будет (2(х+5)) лет, т.к. он будет в 2 раза старше сестры. Значит сейчас ему на 5 лет меньше, т.е. (2(х+5)-5) лет.
Составляем уравнение:
4(х-3)+3=2(х+5)-5
4х-12+3=2х+10-5
4х-9=2х+5
4х-2х=5+9
2х=14
х=14:2
х=7 лет - сестре сейчас.
7-3=4 года - было сестре 3 года назад.
4*4=16 лет - было брату 3 года назад.
16+3=19 лет - брату сейчас.
ответ: 19 лет; 7 лет.
4,7(90 оценок)
Новые ответы от MOGZ: Математика
logo
Вход Регистрация
Что ты хочешь узнать?
Спроси Mozg
Открыть лучший ответ