М
Молодежь
К
Компьютеры-и-электроника
Д
Дом-и-сад
С
Стиль-и-уход-за-собой
П
Праздники-и-традиции
Т
Транспорт
П
Путешествия
С
Семейная-жизнь
Ф
Философия-и-религия
Б
Без категории
М
Мир-работы
Х
Хобби-и-рукоделие
И
Искусство-и-развлечения
В
Взаимоотношения
З
Здоровье
К
Кулинария-и-гостеприимство
Ф
Финансы-и-бизнес
П
Питомцы-и-животные
О
Образование
О
Образование-и-коммуникации
minnehanow
minnehanow
18.08.2022 10:30 •  Математика

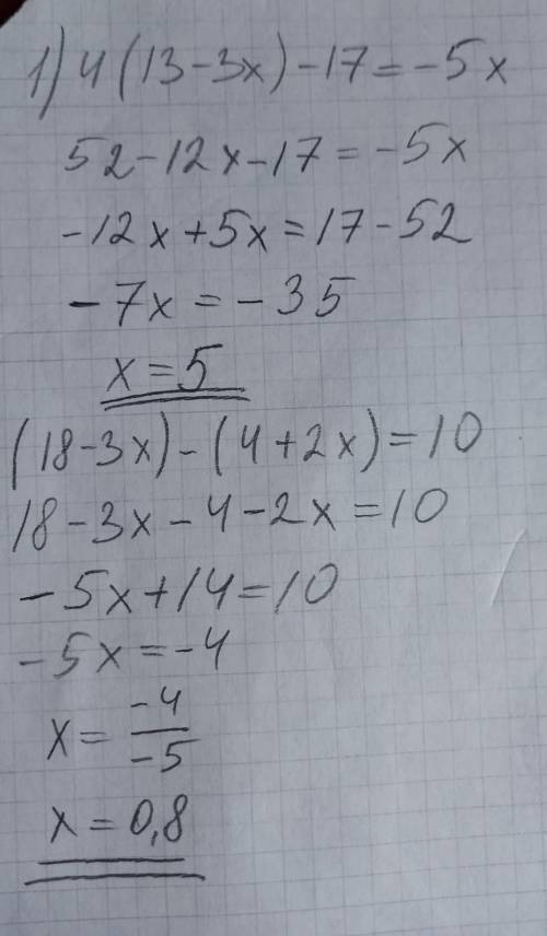
Решите уравнения: 1) 4(13-3x)-17=-5x 2) (18-3x)-(4+2x)=10 3) 14-x=0,5(4-2x)+12 4) 4x-3(20-x)=10x-3(11+x)

👇
Ответ:
Bananthic
Bananthic
18.08.2022

на фотке понятно как решать 2уравнения .

............................

Пошаговое объяснение:

все в фото


Решите уравнения: 1) 4(13-3x)-17=-5x 2) (18-3x)-(4+2x)=10 3) 14-x=0,5(4-2x)+12 4) 4x-3(20-x)=10x-3(1
4,4(55 оценок)
Открыть все ответы
Ответ:
запахи
запахи
18.08.2022
В 1782 г. для проведения более масштабной школьной реформы была образована Комиссия об учреждении училищ. Основные документы и план реформы были разработаны австрийским педагогом сербом Ф. И. Янковичем, который хорошо знал русский язык. По этому плану в городах создавались народные училища двух типов: главные - в губернских городах и малые - в уездных. Эти училища являлись всесословными и содержались за счет государства. В малых училищах изучались чтение, письмо, чистописание, арифметика, катехизис, а в главных - Закон Божий, русский язык, география, история, естественная история, геометрия, архитектура, механика и физика, иностранный язык. Значение этой реформы трудно переоценить - речь шла о создании общероссийской системы образовательной школы.

Учрежденная в 1763 г. Медицинская коллегия должна была готовить медицинских работников. В 1774 г. при Берг-коллегии открылось Горное училище, впоследствии реорганизованное в горный институт. Появились и другие специальные учебные заведения, частные школы. Указ Петра об обязательном обучении дворянских детей "цыфири и геометрии".
Указ Петра об учреждении Академии наук.
Основание Навигацкой школы в Москве. (при Петре).
4,7(47 оценок)
Ответ:
ніка37654
ніка37654
18.08.2022
Гнездовые убежища в дуплах поваленных и стоящих деревьев, в каменных россыпях, под корнями. Щенение на севере в первой половине мая, на юге в апреле. Половой зрелости зверьки достигают в возрасте двух-трех лет и размножаются до 13—15 лет. Спаривание в июне — июле, беременность 250—290 дней. В помете от одного до семи щенков, обычно 3—4. Линька заканчивается в середине октября.
 Длина тела соболя — до 56 см, хвоста — до 20 см. Окраска шкурки изменчива, и ее вариации имеют особые названия. «Головка» — самая темная (почти черная) и наиболее дорогая. «Меховой» — окраска очень светлая, песчано-желтая или палевая — самая дешевая. Промежуточные окраски: «воротовой» — коричневого тона с темным ремнем на спине, более светлыми боками и большим ярким горловым пятном.
В настоящее время соболь встречается по всей таёжной части России от Урала до побережья Тихого океана к северу до пределов лесной растительности. Предпочитает темнохвойную захламлённую тайгу, особенно любит кедрачи. Также встречается в Японии, на острове Хоккайдо. На восточном Урале порой встречается гибрид соболя с куницей, называемый кидус.
4,7(84 оценок)
Новые ответы от MOGZ: Математика
logo
Вход Регистрация
Что ты хочешь узнать?
Спроси Mozg
Открыть лучший ответ