
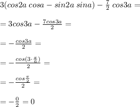
Задача № 8
1) 75-60=15 (с.) - разница.
2) 90: 15=6 (п.) - в одном стеллаже.
3) 75·6=450 (п.) - в I зале.
4) 60·6=360 (п.) или 450-90=360 (п.) - во II зале.
ответ: 450 полок в первом зале и 360 полок во втором зале деткой библиотеки.
Задача № 9
1)
(к.) - в учебном разделе.
2) 4 200+1 450=5 650 (к.) - в разделе художественной литературы.
3) 10 500-(4 200+5 650)=10 500-9 850=650 (к.) - в разделе научно-популярной литературы.
ответ: в разделе научно-популярной литературы 650 книг.
Проверка:
4 200+5 650+650=10 500 (к.) - всего.