Вход
Регистрация
Спроси Mozg AI
М
Молодежь
К
Компьютеры-и-электроника
Д
Дом-и-сад
С
Стиль-и-уход-за-собой
П
Праздники-и-традиции
Т
Транспорт
П
Путешествия
С
Семейная-жизнь
Ф
Философия-и-религия
Б
Без категории
М
Мир-работы
Х
Хобби-и-рукоделие
И
Искусство-и-развлечения
В
Взаимоотношения
З
Здоровье
К
Кулинария-и-гостеприимство
Ф
Финансы-и-бизнес
П
Питомцы-и-животные
О
Образование
О
Образование-и-коммуникации
.....больше.....
..меньше..
lesenok277
20.01.2021 16:03 •
Математика
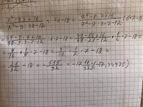
Найдите значение выражения x^2-8x+16/x^2-9 ÷ 3x-12/6x-18 при x=7
👇
Увидеть ответ
Ответ:
Zendydla
20.01.2021
Если я правильно поняла написание примера то, так:
Пошаговое объяснение:
4,6
(96 оценок)
Ответ:
админ1273
20.01.2021
Давайте разберем это выражение по шагам.
Сначала заменим значение x на 7 в исходном выражении:
(7^2 - 8 * 7 + 16) / (7^2 - 9) ÷ (3 * 7 - 12) / (6 * 7 - 18)
Выполним операции в скобках:
(49 - 56 + 16) / (49 - 9) ÷ (21 - 12) / (42 - 18)
Продолжим с упрощением:
(9) / (40) ÷ (9) / (24)
Теперь перейдем к делению:
(9) * (24) / (40) / (9)
Выполним умножение:
216 / 40 / 9
И, наконец, выполним деление:
5.4
Таким образом, значение данного выражения при x = 7 равно 5.4.
4,7
(79 оценок)
Проверить ответ в нейросети
Это интересно:
Д
Дом-и-сад
11.07.2020
Как быстро и эффективно очистить вентиляционное отверстие для сушилки одежды?...
Х
Хобби-и-рукоделие
15.02.2022
Как состарить дерево: советы для создания эффекта возраста...
13.09.2021
Как всегда выигрывать спор...
К
Компьютеры-и-электроника
09.07.2020
Как уничтожить жесткий диск: советы и рекомендации...
К
Компьютеры-и-электроника
20.11.2020
Как создать простую таблицу стилей CSS с помощью Notepad...
О
Образование-и-коммуникации
12.06.2021
Как составить план: секреты планирования на будущее...
И
Искусство-и-развлечения
20.08.2020
Школа дома: как не потеряться и организоваться...
Д
Дом-и-сад
03.02.2020
Как быстро и эффективно избавиться от шоколадных пятен...
Х
Хобби-и-рукоделие
07.07.2021
Как сделать светящуюся палочку: пошаговая инструкция...
П
Питомцы-и-животные
21.04.2022
Как выращивать кроликов ради мяса или шерсти...
Новые ответы от MOGZ: Математика
SashaD02
07.04.2022
5/9 + 1 5/7 х 4 2/3 х 1/2 5/8 / 1 3/4...
Мплисс
19.04.2020
С 10 монет по 2 євро та 15 монет по 1 євро. Скількома різними можна сплатити 17 євро використовуючи лише ці монети?...
aikosyatb
18.02.2023
Почтальон проехал на велосипеде расстояние между селами 5ч со скоростью 20 км/ч, а обратно он возвращается пешком со скоростью 5 км/ч. Определите время, которое почтальон...
kisakz12
16.01.2023
в хранилищах музея содержится 249 картин что составляет 22% от общего фонда таблетка художественные населения Каково общее количество объектов художественного населения...
fgttyf
16.12.2021
8×9×7×6×9×0×5×4×47×7655677×7-1937+976887...
Ерко365
05.07.2022
Продавец продал 4/5 от 1/3 орехов. Какую часть орехов продал продавец?...
Навруза
10.01.2023
На вклад положили 5000 руб. под 4% годовых. сколько денег будет на вкладе через 2 года, если не снимать с него денег...
хорошист428
10.01.2023
Тулкинин кояннын 6,7 м/с кем. буркиттин кояннын 19,4 с/м артык.егер тулкинин 10 м/с болса, буркиттин кандай?...
Denhuk
10.01.2023
Окушы 1сан ойдагы.ол ойлаган саннан 3,85ты азайтып, натижесыне 0,96ны косканда 5,83 шыкты.окушы кандай сан ойлады...
KÆTÉ
10.01.2023
Бабушка к празднику приготовила 20 пирожков .но гости съели только 16 из них.сколько пирожков осталось после праздника?...
MOGZ ответил
Найдется ли целое число которое принадлежит промежутку [-4; -3,5]...
20 ! чому людина має найкраще володiти своєю мовою?...
Представте в виде степени выражения (9+х)⁶÷ (9+х)⁴...
A^2-9/2a^2+1 * (6a+1/a-3+ 6a-1/a+3) =...
Написать почему ты любишь народные сказки...
Почему 2/7 меньше чем 1/ объясните нормально...
Місяць - це найближча зоря ло землі...
1.наполненное после тропического дождя озерцо слон может опустошить...
Напишите уравнения электрической диссоципции сильных электролитов...
Деякі словосполучення значно складніше вимовляти ніж інші. з чим...
Полный доступ к MOGZ
Живи умнее Безлимитный доступ к MOGZ
Оформи подписку
О НАС
О нас
Блог
Условия пользования
Авторское право
Политика конфиденциальности
Предпочтения cookie-файлов
ПОМОЩЬ
Зарегистрируйся
Центр помощи
Центр безопасности
App
Вход
Регистрация
Что ты хочешь узнать?
Спроси Mozg
Открыть лучший ответ
Если я правильно поняла написание примера то, так:
Пошаговое объяснение: