М
Молодежь
К
Компьютеры-и-электроника
Д
Дом-и-сад
С
Стиль-и-уход-за-собой
П
Праздники-и-традиции
Т
Транспорт
П
Путешествия
С
Семейная-жизнь
Ф
Философия-и-религия
Б
Без категории
М
Мир-работы
Х
Хобби-и-рукоделие
И
Искусство-и-развлечения
В
Взаимоотношения
З
Здоровье
К
Кулинария-и-гостеприимство
Ф
Финансы-и-бизнес
П
Питомцы-и-животные
О
Образование
О
Образование-и-коммуникации

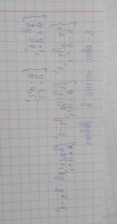
Разность двух чисел равна 1, а разность их квадратов равна 8. найдите эти числа.

👇
Ответ:
sPHAgNUM1
sPHAgNUM1
05.10.2020

Решение прикреплено.


Разность двух чисел равна 1, а разность их квадратов равна 8. найдите эти числа.
4,6(87 оценок)
Открыть все ответы
Ответ:
krissalis9
krissalis9
05.10.2020

last summer i spent with grandparents. their cottage is close to the small, quiet and beautiful town myshkin on the volga. the house has six bedrooms, three downstairs and three upstairs. grandpa even has his own office, where many, many books and a computer. the most interesting place in the house - the attic. there are many things that are reminiscent of my childhood. the nearest neighbors are very sociable and caring people, they help the grandparents when we do not. as a child i used to spend every summer, poeomu i have a lot of friends. not far from the house - a huge soccer field, and last summer we used to play football. of course we went hiking, paltki broke and slept in sleeping bags. it was great! but not only did i enjoy life, i had to do chores, i vacuumed the entire house. my friends offered to help repair my room. we used a hose from a vacuum cleaner to whiten it. beautiful summer! 2.-anne, i want to talk with you, oh, that again is not it? -look at what a mess kitchen. can not you clean up? , i'm busy, i'm working on the computer. -do not forget, you also have dmashnie duties. i work from morning to night, go shopping, cook dinner. -you're right, mom. after five minutes, i'll wash the dishes clean

4,8(82 оценок)
Ответ:
nastyarudckina
nastyarudckina
05.10.2020

ответ:

пошаговое объяснение:

нет нельзя, так как в этом случае сумма всех чисел в такой таблице если считать по строкам должна быть равна 5 х 30 = 150, а если считать по столбцам, то сумма всех тех же числе должна уже равняться 6 х 20 = 120, что явно быть не может. решаема, если уменьшить количество строк до 4 и в таком случае достаточно будет заполнить таблицу одними пятерками или в шахматном порядке 6 и 4 (7 и 3, 8 и 2, 9 и 1) да и другие комбинации наверняка тоже подойдут не обязательно из двух цифр

4,4(34 оценок)
Это интересно:
Новые ответы от MOGZ: Математика
logo
Вход Регистрация
Что ты хочешь узнать?
Спроси Mozg
Открыть лучший ответ