М
Молодежь
К
Компьютеры-и-электроника
Д
Дом-и-сад
С
Стиль-и-уход-за-собой
П
Праздники-и-традиции
Т
Транспорт
П
Путешествия
С
Семейная-жизнь
Ф
Философия-и-религия
Б
Без категории
М
Мир-работы
Х
Хобби-и-рукоделие
И
Искусство-и-развлечения
В
Взаимоотношения
З
Здоровье
К
Кулинария-и-гостеприимство
Ф
Финансы-и-бизнес
П
Питомцы-и-животные
О
Образование
О
Образование-и-коммуникации
максим1716
максим1716
08.07.2021 18:56 •  Математика

2 ПРИМЕРА ОЧЕНЬ НАДО! 2(3x−1)−19=5(x+3)
x = ?

3(4x-8)-30=11(x+4)
x= ?

👇
Ответ:
198219821982
198219821982
08.07.2021

Привет))

Решение во вложении, будут вопросы, задавай)

Пошаговое объяснение:


2 ПРИМЕРА ОЧЕНЬ НАДО! 2(3x−1)−19=5(x+3) x = ? 3(4x-8)-30=11(x+4) x= ?
4,5(80 оценок)
Ответ:
Esenbekmalika30
Esenbekmalika30
08.07.2021

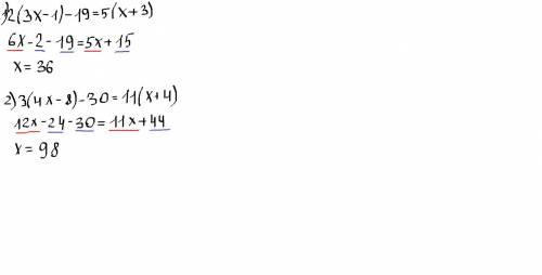
2(3х-1)-19=5(х+3);

6х-2-19=5х+15;

6х-5х=15+2+19;

х=36;

ответ: 36.

3(4х-8)-30=11(х+4);

12х-24-30=11х+44;

12х-11х=44+24+30;

х=98;

ответ: 98.

4,6(48 оценок)
Открыть все ответы
Ответ:
паша573
паша573
08.07.2021

Пошаговое объяснение:

Ромб - параллелограмм у которого все стороны равны .

Теорема : Диагонали ромба пересекаются под прямым углом и лежат на биссектрисах его углов

Доказательство :

Нарисуем ромб АВСД ( рисунок во вложении ) .Рассмотрим ΔАВD . Поскольку у ромба все стороны равны , то АВ=AD , а это значит , что ΔABD - равнобедренный .Поскольку ромб это параллелограмм , значит диагонали в точке пересечения делятся пополам, т.е. ВЕ=ЕD. По-этому можно утверждать , что АЕ - это медиана (отрезок соединяющий вершину с серединой противоположной стороны) , а по свойству равнобедренного треугольника : медиана, проведенная к основанию, является биссектрисой и высотой, а значит АЕ - высота и биссектриса Δ АВD. Следовательно АЕ⊥BD и угол ВАЕ = углу DAE, что говорит о том , что диагонали ромба пересекаются под прямым углом и лежат на биссектрисах его углов.


Сформулировать определение ромба ,доказать теорему о свойстве диагоналей ромба
4,7(41 оценок)
Ответ:
shumskaya03
shumskaya03
08.07.2021
Созданный российским скульптором Алексеем Леоновым бронзовый памятник первому космонавту установили в парке у исторического здания штаб-квартиры NASA в техасском Хьюстоне.

В церемонии приняли участие директор космического ведомства Чарльз Болден, мэр Хьюстона Анис Паркер, представители американских общественных организаций и научно-исследовательских учреждений, МИД России и организаций российских соотечественников.

Среди почетных гостей — дочь и внук Юрия Гагарина Галина и Юрий, президент финансировавшего работы по созданию монумента международного благотворительного фонда «Диалог культур — единый мир» Руслан Байрамов и региональный директор фонда «Русский мир» Николай Михайлов.

На мероприятии была зачитана приветственная телеграмма губернатора Калужской области Анатолия Артамонова. «Это особенно символично, так как история мировой космонавтики начиналась именно из Калуги — города, где жил и работал Константин Циолковский. Связь Калуги с центром американской космонавтики, которым является Хьюстон, однозначна. Памятник Юрию Гагарину — российский подарок Хьюстону — является дополнительным подтверждением растущего взаимодействия между Россией и США в освоении Вселенной», — заявил Байрамов.

«Российско-американское сотрудничество в космосе укрепляется. Памятник первому гражданину Земли, которому удалось совершить полет вокруг нашей планеты, подтверждает это и напоминает, что его подвиг интернационален и в равной мере принадлежит всему человечеству», — заверил мэр Хьюстона.

К открытию мемориала приурочено создание Аллеи космонавтов перед зданием Космического центра имени Линдона Джонсона в Хьюстоне. В течение ближайших нескольких недель там планируется посадить 50 деревьев.
4,5(26 оценок)
Это интересно:
Новые ответы от MOGZ: Математика
logo
Вход Регистрация
Что ты хочешь узнать?
Спроси Mozg
Открыть лучший ответ