М
Молодежь
К
Компьютеры-и-электроника
Д
Дом-и-сад
С
Стиль-и-уход-за-собой
П
Праздники-и-традиции
Т
Транспорт
П
Путешествия
С
Семейная-жизнь
Ф
Философия-и-религия
Б
Без категории
М
Мир-работы
Х
Хобби-и-рукоделие
И
Искусство-и-развлечения
В
Взаимоотношения
З
Здоровье
К
Кулинария-и-гостеприимство
Ф
Финансы-и-бизнес
П
Питомцы-и-животные
О
Образование
О
Образование-и-коммуникации
Karinka11119
Karinka11119
11.01.2021 08:02 •  Математика

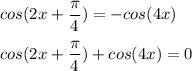
6) cos(2x + 4) = - cos 4x;
решите в скобках+п черта деления 4​

👇
Ответ:
KaKTyZzZz
KaKTyZzZz
11.01.2021

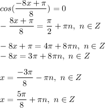
cos(2x+\dfrac{\pi}{4}) = -cos(4x)\\\\cos(2x+\dfrac{\pi}{4}) +cos(4x) = 0

Используя cos(a)+cos(b) = 2cos(\dfrac{a+b}{2})\cdot cos(\dfrac{a-b}{2}), преобразуем наше выражение

2cos(\dfrac{24x+\pi}{8}) \cdot cos(\dfrac{-8x+\pi}{8}) = 0\\\\

Рассмотрим все возможные случаи

1)

cos(\dfrac{24x+\pi}{8}) = 0\\\dfrac{24x+\pi}{8} = \dfrac{\pi}{2} + \pi n,~n \in Z\\\\24x+\pi=4\pi+8\pi n, ~n \in Z\\24x=3\pi+8\pi n, ~n \in Z\\\\x = \dfrac{\pi}{8}+\dfrac{\pi n}{3}, ~n \in Z

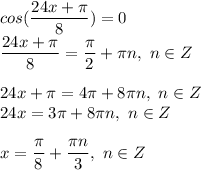
2)

cos(\dfrac{-8x+\pi}{8}) = 0\\-\dfrac{8x+\pi}{8} = \dfrac{\pi}{2} + \pi n, ~n \in Z\\\\-8x+\pi=4\pi+8\pi n,~n \in Z\\-8x=3\pi+8\pi n,~n \in Z\\\\x = \dfrac{-3\pi}{8} -\pi n, ~n \in Z\\\\x= \dfrac{5\pi}{8} +\pi n, ~n\in Z

Находим объединение и получаем результат

\boxed {x = \begin{cases} \dfrac{\pi}{8} + \dfrac{\pi n}{3} \\\\ \dfrac{\pi}{8} +\dfrac{\pi n}{2} \end{cases},~n\in Z}

4,7(60 оценок)
Открыть все ответы
Ответ:
mihatyt100
mihatyt100
11.01.2021

медиа́на  (от  лат.  mediāna  — середина) в  статистике  — число, характеризующее выборку (например, набор чисел). если все элементы выборки различны, то медиана — это такое число выборки, что ровно половина из элементов выборки больше него, а другая половина меньше него. в более общем случае медиану можно найти, упорядочив элементы выборки по возрастанию или убыванию и взяв средний элемент. например, выборка {11, 9, 3, 5, 5} после упорядочивания превращается в {3, 5, 5, 9, 11} и её медианой является число 5. если в выборке чётное число элементов, медиана может быть не определена однозначно: для числовых данных чаще всего используют полусумму двух соседних значений (то есть медиану набора {1, 3, 5, 7} принимают равной 4), подробнее см.  ниже.

также медиану можно определить для  случайных величин: в этом случае она делит пополам распределение. грубо говоря, медианой случайной величины является такое число, что вероятность получить значение случайной величины справа от него равна вероятности получить значение слева от него (и они обе равны 1/2); более точное определение см.ниже.

можно также сказать, что медиана является 50-м  персентилем, 0,5-квантилем  или вторым  квартилем  выборки или распределения.

4,4(36 оценок)
Ответ:
dflbv20050102
dflbv20050102
11.01.2021
Y(x-4)+13=x(y-3)+15-2(x-4) x+5+xy=-8x-9+y(x+5) эти уравнения yx-4y-xy+3y+2x=15-13+8 x+xy+8x-yx-5y=-9-5 -y+2x=10     y=-10+2x       y=-10+2x                   y=-10+2x 9x-5y=-14     9x-5y=-14     9x-5(-10+2x)=-14     9x+50-10x=-14 y=-10+2x     y=-10+2x       y=-10+2*64     y=118 -x=-14-50     x=64 2) 25-4(x+7)=x(1+y)-17y(x+7)     y(6-x)+18=9(2-y)+6 25-4x-28=x+xy-17yx-119     -4x-x-xy+17xy=-119-25+28 6y-xy+18=18-9y+6                 6y-xy+9y=18+6-18 -5x+16xy=-116   16xy-5x=-116     x(16y-5)=-116 15y-xy=6             y(15-x)=6           y=6/(15-x) x(16*6/(15-x)-5)=-116     96x/(15-x)-5x=-116   96x-5x(15-x)=-116(15-x) 96x-75x+5x²=116x-1740     5x²-95x+1740=0   x²-19x+348=0 далее решаете квадратное уравнение и находите корни, затем подставляете и их в уравнение y=6/(15-x)
4,7(9 оценок)
Это интересно:
Новые ответы от MOGZ: Математика
logo
Вход Регистрация
Что ты хочешь узнать?
Спроси Mozg
Открыть лучший ответ