М
Молодежь
К
Компьютеры-и-электроника
Д
Дом-и-сад
С
Стиль-и-уход-за-собой
П
Праздники-и-традиции
Т
Транспорт
П
Путешествия
С
Семейная-жизнь
Ф
Философия-и-религия
Б
Без категории
М
Мир-работы
Х
Хобби-и-рукоделие
И
Искусство-и-развлечения
В
Взаимоотношения
З
Здоровье
К
Кулинария-и-гостеприимство
Ф
Финансы-и-бизнес
П
Питомцы-и-животные
О
Образование
О
Образование-и-коммуникации
775svetik
775svetik
27.12.2022 02:36 •  Математика

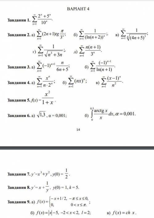
Здравствуйте решить задания по рядам.


Здравствуйте решить задания по рядам.
Здравствуйте решить задания по рядам.

👇
Открыть все ответы
Ответ:
tahliaderma
tahliaderma
27.12.2022
Вообще это ЛДУ 2-го порядка с переменными коэффициентами. Вводом переменной z=y' приходим к уравнению x*z'-z-x^2=0 = z'-z/x-x=0 - ЛДУ 1-го порядка. Пусть z=u*v ->u'*v+u*v' -u*v/x-x=0, v(u'-u/x)+u*v'-x=0, u'-u/x=0, du/u=dx/x, ln(u)=ln(x), u=x, x*v'=x, v'=1,v=x+C1, z=x*(x+C1)=x^2+C1*x. Проверка: x*z'-z-x^2=2*x^2+C1*x-x^2-C1*x-x^2=0, так что z найдено верно. Тогда y=x^3/3+C1*x^2/2. Проверка: y'=x^2+C1*x, y''=2*x+C1, x*y''-y'=2*x^2+C1*x-x^2-C1*x=x^2, так что у найдена верно.
ответ: y=x^3+C1*x^2/2+C2
4,6(52 оценок)
Ответ:
SuperLeonellus123
SuperLeonellus123
27.12.2022
«Мама — первое слово, главное слово в каждой судьбе» — так поется в замечательной детской киносказке «Мама». Образ заботливой, нежной матери в этой киноленте воплотила, бесспорно, талантливая актриса Людмила Гурченко. И сколько еще примеров матерей, достойных подражанию, дал нам отечественный кинематограф: это и Наталья Гундарева в роли заботливой и терпеливой многодетной мамы (в фильме «Однажды двадцать лет спустя»), и Татьяна Доронина в роли любящей и по-женски мудрой мачехи ( фильм «Мачеха»). Я не зря перечислила сейчас эти нестареющие и поныне актуальные киноленты. В советское время, когда о Боге и христианстве не принято было говорить вслух, именно они служили женщинам ориентиром, показывающим истину. А истина заключается в том, что предназначение женщины было и осталось одним — давать и сохранять жизнь. Вспомните, как культивировался тогда среди женщин образ строительницы коммунизма. Женщина- активистка, партийный работник, женщина на сложнейшем производстве и даже в космосе. Такая тенденция наблюдалась не только в нашей стране. Во всем мире женщины осваивали новые, безусловно, интересные сферы жизни и...увлекались, постепенно отдаляясь и отдаляясь от главного своего призвания — воспитания детей.
4,5(55 оценок)
Это интересно:
Новые ответы от MOGZ: Математика
logo
Вход Регистрация
Что ты хочешь узнать?
Спроси Mozg
Открыть лучший ответ