М
Молодежь
К
Компьютеры-и-электроника
Д
Дом-и-сад
С
Стиль-и-уход-за-собой
П
Праздники-и-традиции
Т
Транспорт
П
Путешествия
С
Семейная-жизнь
Ф
Философия-и-религия
Б
Без категории
М
Мир-работы
Х
Хобби-и-рукоделие
И
Искусство-и-развлечения
В
Взаимоотношения
З
Здоровье
К
Кулинария-и-гостеприимство
Ф
Финансы-и-бизнес
П
Питомцы-и-животные
О
Образование
О
Образование-и-коммуникации
yoyo97
yoyo97
18.11.2021 23:26 •  Математика

Доказать по определению предела функции, что


\lim\limits_{x \to 0}2^x=1

👇
Ответ:
АксеновДА
АксеновДА
18.11.2021

Пошаговое объяснение:

Вспомним определение предела

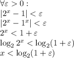
\displaystyle \lim _{x\to x_{0}}f\left(x\right)=A\Leftrightarrow \forall \varepsilon 0~\exists \delta =\delta \left(\varepsilon \right)0\colon ~\forall x~0

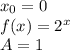
Для нас

x_0=0\\f(x)=2^x\\A=1

Тогда

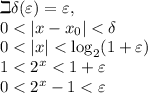
\forall\varepsilon0:\\|2^x-1|

Получим, что

\beth \delta(\varepsilon)=\varepsilon, \\0

А это верно по определению (\forall\varepsilon0) и из-за малости х (функция монотонно возрастает)

4,7(67 оценок)
Открыть все ответы
Ответ:
vika1852
vika1852
18.11.2021
Х:673=12                                                                               673
х=673*12                                                                               12
х=3819                                                                                 3146
ответ:х=3819                                                                         673
 2184:х=36                                                                             3819
 х=
 х=                                                                                   
 ответ:х= а у этого опечатка
                                                                   
                                                                                       
4,4(6 оценок)
Ответ:
мария2300
мария2300
18.11.2021
1день=40%всей книги
2день=60% от остального
3день =144 стр

С конца задачи
2 день остаток 100%
1)) 100%-60%= 40% это 144стр
2)) 144:40•100= 360 стр был остаток на 2 день и это
3)) 100-40=60%
4)) 360:60•100= 600стр было

ответ: в книге 600 страниц

Второе решение
Пропорцией
Х--было страниц во 2 день= 100%
Прочитал 60%
Осталось 100%-60%=40%

Х100%
144---40%
Х=144•100%/40%
Х=144•1/0,4=360стр было во второй день это
100%-40%=60%

Х---100%
360---60%
Х=360•100%/60%
Х=360•1/0,6= 600 стр

ответ: в книге было 600 страниц

Уравнением
Х=всего страниц
40%х=1день =0,4х
(100%-40%)Х•60%=0,36х второй день
144стр=3день

Х=0,4х+0,36х+144
Х-0,4х-0,36х=144
0,24х=144
Х= 144:0,24
Х=600 страниц

ответ: в книге 600 страниц
4,7(28 оценок)
Это интересно:
Новые ответы от MOGZ: Математика
logo
Вход Регистрация
Что ты хочешь узнать?
Спроси Mozg
Открыть лучший ответ