М
Молодежь
К
Компьютеры-и-электроника
Д
Дом-и-сад
С
Стиль-и-уход-за-собой
П
Праздники-и-традиции
Т
Транспорт
П
Путешествия
С
Семейная-жизнь
Ф
Философия-и-религия
Б
Без категории
М
Мир-работы
Х
Хобби-и-рукоделие
И
Искусство-и-развлечения
В
Взаимоотношения
З
Здоровье
К
Кулинария-и-гостеприимство
Ф
Финансы-и-бизнес
П
Питомцы-и-животные
О
Образование
О
Образование-и-коммуникации

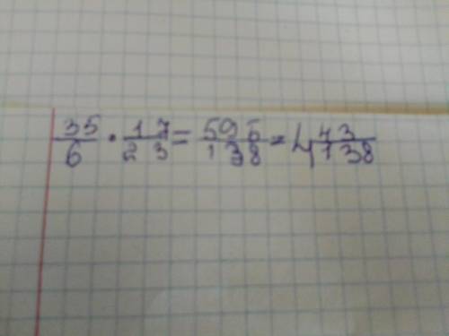
Решите умножение Б) 3 5/6•1 7/23

👇
Ответ:
Mila19911
Mila19911
16.08.2020

Вот ответ ^‿^   (◔‿◔).


Решите умножение Б) 3 5/6•1 7/23​
4,5(32 оценок)
Открыть все ответы
Ответ:
a01065699799
a01065699799
16.08.2020

Die mittelalterliche Stadt


Mittelalterliche Städte waren durch hohe Mauern und Türme, sowie die tiefe Löcher, um gegen Angriffe von außen zu schützen umgeben. Im Falle eines Angriffs gorazhane Stadt komponiert militärischen opolchenie.Steny beschränken das Wachstum der Stadt, so waren die Straßen sehr eng gemacht, und die oberen Stockwerke der Häuser waren oft über dem Boden. Die engen Gassen und Städten waren oft halb schwarz, Straßenbeleuchtung gab, die machten die Kaufleute und Bojaren als gewöhnliche Menschen Mechain einfach für Diebe und Räuber. Der zentrale Punkt in der Stadt war in der Regel Platz, die in der Nähe der Kathedrale der Stadt befand. Müll und Abwasser in den Städten sind in der Regel in den Fluss oder in den nahe gelegenen Gräben geworfen, wenn sie nicht auf dem Kopf des Passanten. In den Städten wegen der Verunreinigungen oft blitzte der Epidemie, die wie bei Ratten und Kakerlaken übertragen wurde, und Vagabunden, und wurden oft Brände sind leicht von Dach zu Dach geworfen, und oft Menschen haben keine Zeit zu setzen, eine kleine Stadt, und wenn brannte eine gute Hälfte der Stadt. Startseite Bevölkerung der mittelalterlichen Städte waren Handwerker. Sie wurden Bauern, die von ihren Besitzern oder Pflege in der Stadt unter ihre Mietzahlungen an den Eigentümer geflohen waren. Indem Bürger, werden sie allmählich von der persönlichen Abhängigkeit von der Feudalherr befreit. Wenn ein Landwirt, der Stadt, die er in ihr lebte eine gewisse Zeit geflohen war - in der Regel ein Jahr und einen Tag wurde er frei. Erst später in den Städten gab es beim Händler. Obwohl die Mehrheit der Bürger in Handwerk und Handel, hatten viele Bewohner ihre Felder, Wiesen und Obstgärten außerhalb der Stadtmauern, und teilweise in der Stadt. Kleinvieh (Ziegen, Schafe und Schweine) werden oft weiden mitten in der Stadt, und die Schweine fraßen Müll, Speisereste und Schmutz, die in der Regel werden auf die Straße geworfen.

4,6(5 оценок)
Ответ:
xXDenchykXx1
xXDenchykXx1
16.08.2020

 

 

Содержание,  100 г съедобной части

 

                                         

                                       

                   Мясо      влаги | белка | жира      ЗОЛЫ    Энергетиче­ская цен­ность, кДж

       

           Говядина       67,7      18,9      12,4         1,0      782

           Баранина        67,6      16,3     15,3          0,8      849

           Свинина         51,6      14,6     33,0          0,8      1485

           Куры              61,9      18,2     18,4          0,8      1008

           Гуси               45,0      15,2     39,0          0,8      1724

           Утки               45,6      15,8     38,0          0,6      1695

4,5(6 оценок)
Новые ответы от MOGZ: Математика
logo
Вход Регистрация
Что ты хочешь узнать?
Спроси Mozg
Открыть лучший ответ