М
Молодежь
К
Компьютеры-и-электроника
Д
Дом-и-сад
С
Стиль-и-уход-за-собой
П
Праздники-и-традиции
Т
Транспорт
П
Путешествия
С
Семейная-жизнь
Ф
Философия-и-религия
Б
Без категории
М
Мир-работы
Х
Хобби-и-рукоделие
И
Искусство-и-развлечения
В
Взаимоотношения
З
Здоровье
К
Кулинария-и-гостеприимство
Ф
Финансы-и-бизнес
П
Питомцы-и-животные
О
Образование
О
Образование-и-коммуникации
slayer75
slayer75
31.03.2021 18:45 •  Математика

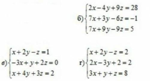
Системы линейных уравнений Методом Гаусса.​


Системы линейных уравнений Методом Гаусса.​

👇
Ответ:
НатЯ01771
НатЯ01771
31.03.2021

Даётся 2 варианта решения задания б).

Остальные решить самому по аналогии.

Дана система уравнений в матричном виде. Решим его методом Гаусса.

■(2&-4&[email protected]&3&[email protected]&9&-9)    ■([email protected]@5)

1-ую строку делим на 2

■(1&-2&4,[email protected]&3&[email protected]&9&-9)    ■([email protected]@5)

от 2 строки отнимаем 1 строку, умноженную на 7; от 3 строки отнимаем 1 строку, умноженную на 7

■(1&-2&4,[email protected]&17&-37,[email protected]&23&-40,5)    ■([email protected]@-93)

2-ую строку делим на 17

■(1&-2&4,[email protected]&1&-75/[email protected]&23&-40,5)    ■([email protected]/[email protected])

к 1 строке добавляем 2 строку, умноженную на 2; от 3 строки отнимаем 2 строку, умноженную на 23

■(1&0&3/[email protected]&1&-75/[email protected]&0&147/17)    ■(40/[email protected]/[email protected]/17)

3-ую строку делим на 174/17

■(1&0&3/[email protected]&1&-75/[email protected]&0&1)    ■(40/[email protected]/[email protected])

от 1 строки отнимаем 3 строку, умноженную на 3/34; к 2 строке добавляем 3 строку, умноженную на 75/34

■(1&0&[email protected]&1&[email protected]&0&1)    ■([email protected]@4)

x = 2y = 3z = 4

Сделаем проверку. Подставим полученное решение в уравнения из системы и выполним вычисления:

2•2 - 4•3 + 9•4 = 4 - 12 + 36 = 28

7•2 + 3•3 - 6•4 = 14 + 9 - 24 = -1

7•2 + 9•3 - 9•4 = 14 + 27 - 36 = 5

Проверка выполнена успешно.

x = 2

y = 3

z = 4

Запишем систему в виде расширенной матрицы:

2 -4 9         28

7 3 -6       -1

7 9 -9       5

Для удобства вычислений поменяем строки местами:

7 3 -6       -1

7 9 -9        5

2 -4 9         28

Работаем со столбцом №1

Умножим 2-ю строку на (k = -2 / 7) и добавим к 3-й:

7      3            -6       -1

7     9           -9        5

0 -46/7 81/7       186/7

Умножим 1-ю строку на (k = -7 / 7 = -1) и добавим к 2-й:

7       3   -6          -1

0       6   -3         6

0   -46/7   81/7 186/7

Работаем со столбцом №2

Умножим 2-ю строку на (k = 46/7 / 6 = 23/21) и добавим к 3-й:

7       3   -6               -1

0        6   -3                6

0       0   58/7         232/7

Получим единицы на главной диагонали. Для этого всю строку делим на соответствующий элемент главной диагонали:

1 3/7 -6/7     -1/7

0 1 -1/2        1

0 0 1           4

Теперь исходную систему можно записать как:

x1 = -1/7 - (3/7x2 - 6/7x3)

x2 = 1 - ( - 1/2x3)

x3 = 4

Из 3-ой строки выражаем x3

x3 = 4

Из 2-ой строки выражаем x2

x2 = 1 - (-1/2)*4 = 3

Из 1-ой строки выражаем x1

x1 = -1/7 - 3/7*3 - (-6/7)*4 = 2 .

Так как форматирование матриц плохо отражено, оригинал решения можно посмотреть во вложении.

4,8(97 оценок)
Открыть все ответы
Ответ:
Hdjfhdhe73747
Hdjfhdhe73747
31.03.2021
Биектау районы- муниципаль районы төньяк-көнбатышында урнашкан һәм Татарстан Республикасы белән чиктәш Марий Эл Республикасы. Керә Казан агломерацию Административ үзәге — бистә, Биектау. 1920 елга кадәр район территориясе анда Казан һәм Лаеш өязе, 1920 елдан 1930 елга — Арча һәм Лаеш кантонда, 1930-1935 нче ел — Казан, Питрәч, Дубъязском һәм Арча районнарында. Оеша 10 февраль 1935 ел. 26 март 1959 елның районы составына кергән территориясенең упраздненного районы столбище кишәрлек. Упразднен 10 февральдә 1963 елның тапшыру территориясе составына Арча һәм яшел Үзән районнары. Восстановлен 12 гыйнвар 1965 ел. -_-/// а если я тогда подпишис ь на мой каБиектау районы- муниципаль районы төньяк-көнбатышында урнашкан һәм Татарстан Республикасы белән чиктәш Марий Эл Республикасы. Керә Казан агломерацию Административ үзәге — бистә, Биектау. 1920 елга кадәр район территориясе анда Казан һәм Лаеш өязе, 1920 елдан 1930 елга — Арча һәм Лаеш кантонда, 1930-1935 нче ел — Казан, Питрәч, Дубъязском һәм Арча районнарында. Оеша 10 февраль 1935 ел. 26 март 1959 елның районы составына кергән территориясенең упраздненного районы столбище кишәрлек. Упразднен 10 февральдә 1963 елның тапшыру территориясе составына Арча һәм яшел Үзән районнары. Восстановлен 12 гыйнвар 1965 ел.
4,6(8 оценок)
Ответ:
RaidFrame
RaidFrame
31.03.2021
1) Если число нечетное, то при делении на 2 в остатке будет 1.
Так как 543 нечетное число, значит, при делении на 2 в остатке будет 1.

2) Если в каком либо числе в разряде единиц не стоит цифра 5 или 0, то при делении такого числа на 5 в остатке будет цифра из разряда единиц.

Так как в числе 543 в разряде единиц стоит цифра 3, то при делении 543 на 5 в остатке будет 3.

3) Число делится на 9, если сумма его цифр делится на 9.
5 + 4 + 3 = 12
12 не делится на 9, но если от 12 отнять 9, получим остаток, который получился бы при делении 543 на 9.
12 - 9 = 3 (осток)
4,8(60 оценок)
Новые ответы от MOGZ: Математика
logo
Вход Регистрация
Что ты хочешь узнать?
Спроси Mozg
Открыть лучший ответ