
Мағжан Бекенұлы Жұмабаев 1893 жылы 25 маусымда Солтүстік Қазақстан облысы, қазіргі Мағжан Жұмабаев ауданы, Сасықкөл жағасында дүниеге келген. Алаш қозғалысының қайраткері, ақын, қазақ әдебиетінің жарқын жұлдызы. Азан шақырып қойған аты – Әбілмағжан.Атасы – Жұмабай қажы. Әкесі Бекен саудамен айналысқан дәулетті адам болған. Бекен өжет, өте пысық еді. Қоянды базарына жиі қатынайтын. Сол ұзын жолда ыңылдап өлең шығарады екен. Отыздың бел ортасында елге билік айтуға қолы жетті, болыстыққа сайланды.
Анасының есімі – Гүлсім. Гүлсім – Қызылжарда тұратын керей Әшірбек (Әшірбектің ағасы Құрманбайдан Мағжанның болашақ әйелі Зылиха туады) деген саудагердің қызы. Мағжан бойындағы серілік, ақындық қасиеттер әкеден болса, жүрегінің жұмсақтығы, нәзіктігі, жолдас, достыққа қалтқысыздығы, жұртқа қайырымдылығы осы шешесінен деседі.
Мағжан ауыл молдасынан сауатын ашып, 1905-1910 жылдары Қызылжардағы №1 мешіт жанында белгілі татар зиялысы, мұсылман халықтарының азаттығы жолында күрескен М.Бегишевтің ұйымдастыруымен ашылған медреседе оқыды. Медреседе Бегишевтен Шығыс халықтарының тарихынан дәріс алды, қазақ, татар әдебиеттерін, Фирдоуси, Сағди, Хафиз, Омар Һайям, Низами, Науаи секілді шығыс ақындарының дастандарын оқып үйренді
Пошаговое объяснение:
арасынан керегін тандап алыныз
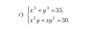
(1) 3х²у+3ху²=90(обе части нижнего уравнения умножили на 3)
(2) сложив почленно верхнее уравнение х³+у³=35 с уравнением (1), получим:
х³+3х²у+3ху²+у³=125 или (х+у)³=125 или х+у=√125 или х+у=5 (беру для простоты только положительные корни, с отрицательными будет такой же алгоритм решения!)
(3) далее, преобразуем уравнение (1) как 3ху(х+у)=90 или ху(х+у)=30.
Но у нас ранее получено, что х+у=5, т.е ху·5=30 или ху= 6.
(4) получили новую систему:
║х+у=5
║ху=6
Значит х=5-у, отсюда (5-у)·у=6, далее у²-5у+6=0 (корни этого уравнения 3 и 2. Но я для упрощая для быстроты, что конечно, недопустимо, беру только один корень 3) Получил у=3, тогда х=5-3=2.
ответ(неполный): у=3, х=2
Желаю всем здоровья и удачи!
Пошаговое объяснение: