М
Молодежь
К
Компьютеры-и-электроника
Д
Дом-и-сад
С
Стиль-и-уход-за-собой
П
Праздники-и-традиции
Т
Транспорт
П
Путешествия
С
Семейная-жизнь
Ф
Философия-и-религия
Б
Без категории
М
Мир-работы
Х
Хобби-и-рукоделие
И
Искусство-и-развлечения
В
Взаимоотношения
З
Здоровье
К
Кулинария-и-гостеприимство
Ф
Финансы-и-бизнес
П
Питомцы-и-животные
О
Образование
О
Образование-и-коммуникации
ДарьяРэя
ДарьяРэя
31.12.2022 14:39 •  Математика

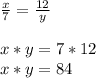
Заданые пропорции х:7 = 12 :у найди значение х•у

👇
Ответ:
sevara17
sevara17
31.12.2022

ответ: х•у = 84

х:7 = 12 :у

\frac{x}{7} =\frac{12}{y}\\\\ x*y=7*12\\x*y=84

Пошаговое объяснение:

4,5(26 оценок)
Открыть все ответы
Ответ:
Wanemid
Wanemid
31.12.2022

живу в экологически чистом ( или грязном) районе города. в нашей реке водятся такие виды рыб как форель пескарь налим ( или вообще никто не водится) . хорошо растут такие дереввья как кедр ( или наооборот сохнут при выбросе химического предприятия) . летом наблюдаю много пчел и других насекомых ( может наооборот никого нет). зимой прилетают снигири клевать рябину. вследствии большого числа машин и других вредных выбросов в атмосферу наблюдается рост различных заболеваний ( или наооборот машин нет воздух чистый) . таких явлений как ураган извержение вулкана и других стихийных бедствий не наблюдается ( или наоборот) . у нас исчезли такие виды жывотных как ( или появились-например крысы) . вообщем район у нас с благопиятной экологической обстановкой ( или наоборот). ну последнее почва загрязнена ( или нет) вобросами отходов, канализационных стоков и мусора.

4,6(81 оценок)
Ответ:
katuschaglebtsc
katuschaglebtsc
31.12.2022

живу в экологически чистом ( или грязном) районе города. в нашей реке водятся такие виды рыб как форель пескарь налим ( или вообще никто не водится) . хорошо растут такие дереввья как кедр ( или наооборот сохнут при выбросе химического предприятия) . летом наблюдаю много пчел и других насекомых ( может наооборот никого нет). зимой прилетают снигири клевать рябину. вследствии большого числа машин и других вредных выбросов в атмосферу наблюдается рост различных заболеваний ( или наооборот машин нет воздух чистый) . таких явлений как ураган извержение вулкана и других стихийных бедствий не наблюдается ( или наоборот) . у нас исчезли такие виды жывотных как ( или появились-например крысы) . вообщем район у нас с благопиятной экологической обстановкой ( или наоборот). ну последнее почва загрязнена ( или нет) вобросами отходов, канализационных стоков и мусора.

4,7(50 оценок)
Это интересно:
Новые ответы от MOGZ: Математика
logo
Вход Регистрация
Что ты хочешь узнать?
Спроси Mozg
Открыть лучший ответ