М
Молодежь
К
Компьютеры-и-электроника
Д
Дом-и-сад
С
Стиль-и-уход-за-собой
П
Праздники-и-традиции
Т
Транспорт
П
Путешествия
С
Семейная-жизнь
Ф
Философия-и-религия
Б
Без категории
М
Мир-работы
Х
Хобби-и-рукоделие
И
Искусство-и-развлечения
В
Взаимоотношения
З
Здоровье
К
Кулинария-и-гостеприимство
Ф
Финансы-и-бизнес
П
Питомцы-и-животные
О
Образование
О
Образование-и-коммуникации
anast0101
anast0101
04.12.2022 00:05 •  Математика

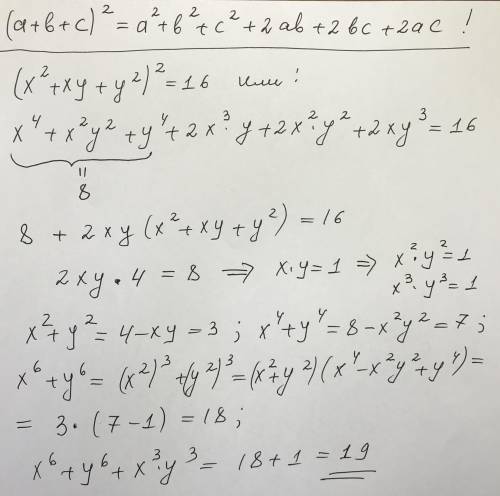
с олимпиадой! Действительно числа "x" и "y"
удовлетворяют соотношениям x²+xy+y²=4, x⁴+x²y²+y⁴=8. Найдите значение выражения x6+x³y³+y6. (6-степень, а не количество иксов)
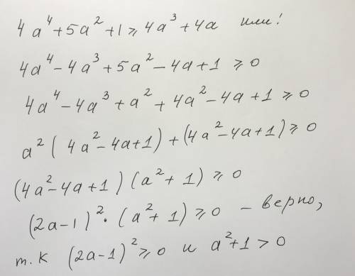
2. Докажите неравенство 4a⁴+5a²+1 больше либо равно 4a³+4a

👇
Ответ:

Решение : ////////////////////////////////////


с олимпиадой! Действительно числа x и y удовлетворяют соотношениям x²+xy+y²=4, x⁴+x²y²+y⁴=8. На
с олимпиадой! Действительно числа x и y удовлетворяют соотношениям x²+xy+y²=4, x⁴+x²y²+y⁴=8. На
4,5(44 оценок)
Открыть все ответы
Ответ:
Каке11
Каке11
04.12.2022
(1;-1)
2,7х -8,1 у =11,8
16х -15у =1
Пробуем подставить, получаем:
2,7 * 1 - 8,1 * (-1)=11,8
решаем как обычное линейное уравнение, получаем :
2,7 + 8,1 = 11,8
10,8=11,8 – ЛОЖЬ
16*1-15*(-1)=1
16+15=1
31=1 – ЛОЖЬ
эта пара не является решением.
Пробуем подставить эту пару в другую систему, получаем:
21*1-20*(-1)=-16
21+20=16
41=16 – ЛОЖЬ
9*1-10*(-1)=1
9+10=1
19=1 – ЛОЖЬ
Следовательно, эта пара не является решением ни одной из этих систем.
Попробуем второй вариант:
1) 2,7*(-1)-8,1*(-1)=11,8
-2,7+8,1=11,8
5,4=11,8 – ЛОЖЬ
16*(-1)-15*(-1)=1
-16+15=1
1=1 – ИСТИНА, однако решением СИСТЕМЫ не является.
4,4(70 оценок)
Ответ:
samojlenko15
samojlenko15
04.12.2022
           Если цифра в разряде единиц от 0 до 4 - то цифра в разряде десятков остаётся без изменений, а если в разряде единиц стоит цифра 5 и больше - то разряд десятков увеличивается (округляется) на 1.
           Например, округлим до разряда десятков  371 ≈ 370
                                                                                         372 ≈ 370
                                                                                         375 ≈ 380
                                                                                         379 ≈ 380
                                                                                         383 ≈ 380
          Следовательно, наибольшее задуманное Машей число 384 - ответ.
4,6(8 оценок)
Это интересно:
Новые ответы от MOGZ: Математика
logo
Вход Регистрация
Что ты хочешь узнать?
Спроси Mozg
Открыть лучший ответ