М
Молодежь
К
Компьютеры-и-электроника
Д
Дом-и-сад
С
Стиль-и-уход-за-собой
П
Праздники-и-традиции
Т
Транспорт
П
Путешествия
С
Семейная-жизнь
Ф
Философия-и-религия
Б
Без категории
М
Мир-работы
Х
Хобби-и-рукоделие
И
Искусство-и-развлечения
В
Взаимоотношения
З
Здоровье
К
Кулинария-и-гостеприимство
Ф
Финансы-и-бизнес
П
Питомцы-и-животные
О
Образование
О
Образование-и-коммуникации

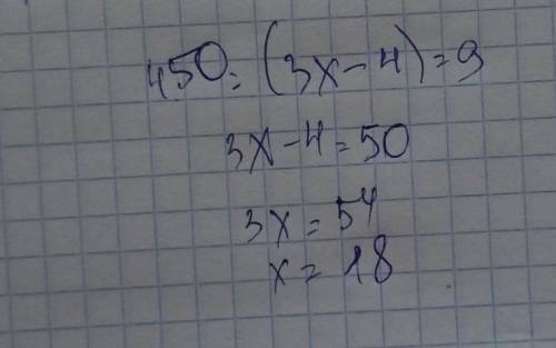
450:(3х - 4)=9
ответ пошагово 50 б

👇
Ответ:
elenabradulina
elenabradulina
14.07.2021

3х-4=4050

3х=4046

х=1348,66

4,6(37 оценок)
Ответ:
olga7789
olga7789
14.07.2021

....................


450:(3х - 4)=9 ответ пошагово 50 б
4,8(86 оценок)
Открыть все ответы
Ответ:
dasha5010
dasha5010
14.07.2021

Задание 1: 1-В); 2-В); 3-Б); 4-В); 5-В); 6-Б); 7-В); 8-Б) Задание 2: Александр Невский

Русские князья приходили друг другу на в борьбе с монголо-татарами

ДА

НЕТ

Монгольское войско отличалось хорошей дисциплиной и жестокостью

ДА

НЕТ

Русские люди должны были платить дань Золотой Орде. Только храмы и монастыри дань не платили.

ДА

НЕТ

Развитие Руси ускорилось во время господства монголо-татар.

ДА

НЕТ

Русские князья должны были получать от хана грамоту на право управлять вотчиной или городом. Такая грамота называлась – ярлык

ДА

НЕТ

Александр Невский получил свое прозвище за битву на реке Неве

ДА

НЕТ

Битва на Чудском озере закончилась победой немецких рыцарей

ДА

НЕТ

Задание 3: НЕТ, ДА, ДА, НЕТ, ДА, ДА, НЕТ.

Если что (у тебя должно быть и 3 задание)

4,5(86 оценок)
Ответ:
mrdrozdovoy228
mrdrozdovoy228
14.07.2021

Каспер

Пошаговое объяснение:

Дело в том, что после покупки 15 арбузов он продал их наркоторговцу, и умер от передоза наркотиков. Передоз случился на улице, когда он бежал до туалета. Добежать не смог, сделал дела на месте. Асфальт стал жёлтый. Илюминаты это увидели, и решили, что это звезда появляется из неоткуда, и начали поклоняться ей. В ходе поклонения они заметили, что в слове "ЗВЕЗДА" 1 местом стоит буква "З". Она похожа на цифру 3. Проходим через 3 буквы, и нас опять ждёт цифра 3. И третьей буквой становится буква "А". Буква "А" находится на втором месте в слове "Каспер". Берём цифру 2. Каспер умер от передоза, в слове "Передоз" 2 буква - это буква "Е". В слове "Каспер" буква "Е" на 5 месте. В слове "Пять" 4 буквы. на четвёртом месте в слове "Илюминаты" находится буква "М". "М" похожа на "П" после того, как сверху чем-то надавили. Буква "П" находится на 4 месте, как и "М". Совпадение? Если совместить буквы, то получиться "АЕМП". Напоминает "Олимп". В олимпиадах учавствуют спортсмены. В слове "Спортсмен" 2 буквы "С". Ставим на второе место, получается "АСЕМП". Если переставить буквы нужным и вычесть всё под правильными формулами, которые известны только илюминатам, то получиться "КАСПЕР".

4,5(96 оценок)
Это интересно:
Новые ответы от MOGZ: Математика
logo
Вход Регистрация
Что ты хочешь узнать?
Спроси Mozg
Открыть лучший ответ