Пошаговое объяснение:
1). 1/3< x < 3/4
1/3 и 3/4 приведем к единому знаменателю, это 12
1/3=(1*4)/(3*4)=4/12; 3/4=(3*3)/(4*3)=9/12
4/12< x < 9/12
х₁=5/12
х₂=6/12=1/2
х₃=7/12
2). 1/8 < x < 3/4
общий знаменатель 8
3/4=(3*2)/8=6/8
1/8 < x < 6/8
х₁=3/8
х₂=4/8=1/2
х₃=5/8
3). 2/45 < x < 1/5
общий знаменатель 45
1/5=(1*9)/(5*9)=9/45
2/45 < x < 9/45
х₁=4/45
х₂=6/45=2/15
х₃=8/45
4). 1/10 <x < 1/2
Общий знаменатель 10
1/2=(1*5)/(2*5)=5/10
1/10 < x < 5/10
х₁=2/10=1/5
х₂=3/10
х₃=4/10=2/5
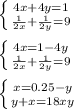
пусть производительность одного - х,
тогда второго - у
получим систему:
Подставим первое во второе, получим :
Тогда
и
Значит первый сделает всё поле
Второй сделает
Проверка:
4х+4у=1 , подставим, получим
Значит задача решена верно.
ответ: 6 и 12 часов.