М
Молодежь
К
Компьютеры-и-электроника
Д
Дом-и-сад
С
Стиль-и-уход-за-собой
П
Праздники-и-традиции
Т
Транспорт
П
Путешествия
С
Семейная-жизнь
Ф
Философия-и-религия
Б
Без категории
М
Мир-работы
Х
Хобби-и-рукоделие
И
Искусство-и-развлечения
В
Взаимоотношения
З
Здоровье
К
Кулинария-и-гостеприимство
Ф
Финансы-и-бизнес
П
Питомцы-и-животные
О
Образование
О
Образование-и-коммуникации
Vыдыhaй1235
Vыдыhaй1235
21.01.2023 11:46 •  Математика

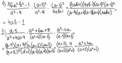
номер пять там всего два выражения ​


номер пять там всего два выражения ​

👇
Ответ:
Zmei0907
Zmei0907
21.01.2023

Надеюсь всё хорошо видно

Пошаговое объяснение:


номер пять там всего два выражения ​
4,8(81 оценок)
Открыть все ответы
Ответ:
Flashvinchester
Flashvinchester
21.01.2023
                                           Земельный участок
Для правильного физического развития и укрепления здоровья детей необходимо достаточное пребывание их на свежем воздухе. Поэтому важно здания детских яслей-садов размещать на отдельных, специально выделенных благоустроенных земельных участках, где дети могут зимой проводить по 4—5 часов, а летом весь день.
При выборе участка для детского учреждения надо руководствоваться следующими гигиеническими требованиями: необходимо, чтобы он имел достаточно свободную территорию, расположенную в сухом месте, с низким стоянием грунтовых вод и естественным уклоном для стока поверхностных вод.
Важно, чтобы участок находился вдали от учреждений и предприятий, загрязняющих воздух и почву, а также вдали от мест, опасных в санитарном отношении (рынки, больницы, дороги, свалки, болота и т. д.)
4,8(35 оценок)
Ответ:
andreyvlasov22
andreyvlasov22
21.01.2023
Вероятность, что деталь стандартная у 1-го работника 12/15=4/5 вероятность, что у 1-го работника деталь будет не стандартная 3/15=1/5
вероятность, что деталь будет стандартная у 2-го работника 10/15=2/3
вероятность, что деталь будет не стандартной у 2-го работника 5/15=1/3
вероятность, что деталь будет стандартной у 3-го работника 11/15
вероятность, что деталь будет не стандартной у 3-го работника 4/15
т.к. брали у каждого работника по одной детали, и они все стандартные
Р=4/5·2/3·11/15=88/225=0,391
только одна деталь стандартная, т.е. у 1-го рабочего стандартная, а у 2-го и 3-го нет, или у 2-го рабочего стандартная, а у 1-го и 3-го нет или у 3-го стандартная, а у 1-го и 2-го нет
Р=4/5·1/3·4/15+2/3·1/5·4/15+11/15·1/5·1/3=16/225+8/225+16/225=40/225=0,178
2) Р{отказа}=0,2  P{работает}=0,8
откажут 3элемента, а 2 останутся работать
Р=0,2·0,2·0,2·0,8·0,8=0,00512
откажут не менее 4 элементов, значит откажет 4 или откажет 5 элементов
Р{откажет 4}=0,2·0,2·0,2·0,2·0,8=0,00128
P{откажет 5}=0,2··0,2·0,2·0,2·0,2=0,00032
P=0,00128+0,00032=0,0016
откажет хотя бы 1 элемент, значит из полной вероятности нужно вычесть вероятность, что ни один элемент не откажет
Р{все работают}=0,8·0,8·0,8·0,8·0,8=0,32768
P{хотя бы 1 откажет}=1-0,32768=0,67232
4,7(63 оценок)
logo
Вход Регистрация
Что ты хочешь узнать?
Спроси Mozg
Открыть лучший ответ