М
Молодежь
К
Компьютеры-и-электроника
Д
Дом-и-сад
С
Стиль-и-уход-за-собой
П
Праздники-и-традиции
Т
Транспорт
П
Путешествия
С
Семейная-жизнь
Ф
Философия-и-религия
Б
Без категории
М
Мир-работы
Х
Хобби-и-рукоделие
И
Искусство-и-развлечения
В
Взаимоотношения
З
Здоровье
К
Кулинария-и-гостеприимство
Ф
Финансы-и-бизнес
П
Питомцы-и-животные
О
Образование
О
Образование-и-коммуникации
suhtuevaa
suhtuevaa
15.05.2023 10:51 •  Математика

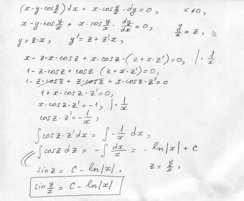
Решите уравнение 1-го порядка по дифференциальным уравнениям - (x-y*cos(y/x))dx + x*cos(y/x)dy=0

👇
Ответ:
natalyasergeev1
natalyasergeev1
15.05.2023

я написал решение на листочке ===>>


Решите уравнение 1-го порядка по дифференциальным уравнениям - (x-y*cos(y/x))dx + x*cos(y/x)dy=0
4,7(1 оценок)
Открыть все ответы
Ответ:
serguhovaannagmail
serguhovaannagmail
15.05.2023
Дубровского непроста. он сын поручика гвардии, рано оставшийся без матери. с детства воспитывался в кадетском училище. однажды молодому корнету приходит известие о том, что отец его тяжко болен, а их родовое имение переходит во владение троекурову, для которого крестьяне были всего лишь рабами, с которыми можно обходиться, как заблагорассудится. владимир же, напротив, исполнен дворянской чести и достоинства, а к крепостным относится по-человечески.получив отпуск, молодой дубровский мчится домой к отцу, однако вскоре после его приезда тот умирает. чтобы родной дом не достался врагу, владимир его поджигает. крепостные, не пожелавшие переходить к троекурову, уходят за дубровским в лес. чтобы их прокормить, дворянину приходится стать разбойником.неудивительно, что он мечтает о мести, но пока ждет удобного момента, влюбляется в машу - дочку троекурова. любовь заставляет его отказаться от своих планов. однако все усугубляется тем, что машу насильно замуж за пожилого князя. дубровский всячески старается спасти девушку от этого замужества, но ему это не удается.люди дубровского окружают машину карету во время переезда в имение мужа, но она отказывается от его , объясняя свое решение данной клятвой. спустя какое-то время отряд дубровского попытались окружить власти, но, к счастью, безуспешно. после этого он распускает банду и уезжает за границу.думаю, эта повесть заставляет задуматься, но не о любви, а о понимании чести, благородства, о справедливости и продажном правосудии. ведь романтический налет в произведении скрывает под собой жестокую реальность тех времен. богатый и необремененный честью дворянин мог с легкостью лишить неугодного человека всего. он, как помещик, имел полную власть над крепостными, а также над менее влиятельными соседями.
4,8(5 оценок)
Ответ:
елена1180
елена1180
15.05.2023

ответ:

свежий гриб содержит 90% воды, а сушеный 15%. сколько получится сушеных грибов из 17 кг свежих?  

прежде всего учащимся надо знать, что практически любой продукт - яблоки, грибы, картофель, крупа, хлеб и т.д. состоит из воды и сухого вещества. причем воду содержат как свежие, так и сушеные продукты. важно обратить внимание учащихся на то, что в процессе высыхания испаряется только вода, а сухое вещество никуда не девается и его масса не изменяется.

обозначим: х кг-масса сухих грибов.  

вычислим сколько % сухого вещества в свежих грибах:  

 

пошаговое объяснение: 1)100%-90%=10%.  

сколько % сухого вещества в сухих грибах:  

2) 100%-15%= 85%

4,6(66 оценок)
Новые ответы от MOGZ: Математика
logo
Вход Регистрация
Что ты хочешь узнать?
Спроси Mozg
Открыть лучший ответ