
Объяснения:В жизни у всех нас и в нашем мире много чего интересного и прекрасного. И так одно из чего-то прекрасного - это чудо.Людям сложно объяснить это понятие. Чудом может быть как и друзей так и что-то невероятное. Но чудо это хорошие слово чудо..Разные ситуации могут даже быть опасными или же наоборот. У меня случилось один раз чудо: когда я хотела выйти на улицу сразу же пошёл дождьЯ не знала что делать ,и потом самой себе сказала дождь прикратись ,а он сразу же Или же когда машина с невероятной скоростью ехала прямо на меня ,но тут вдруг ко мне человек подбижал схватил меня за руку и прижал к себе говоря больше так не делай разве это не чудо. Неоткуда взялся человек и мне жизнь?Чудеса всегда есть но в них нужно верить и тогда чудо обязательно сбудется!
= pornhub.com = pornhub.com = pornhub.com = pornhub.com = pornhub.com = pornhub.com = pornhub.com = pornhub.com = pornhub.com = pornhub.com = pornhub.com = pornhub.com = pornhub.com = pornhub.com = pornhub.com = pornhub.com = pornhub.com = pornhub.com = pornhub.com = pornhub.com
Пошаговое объяснение:
= pornhub.com = pornhub.com = pornhub.com = pornhub.com = pornhub.com = pornhub.com = pornhub.com = pornhub.com = pornhub.com = pornhub.com = pornhub.com = pornhub.com = pornhub.com = pornhub.com = pornhub.com = pornhub.com = pornhub.com = pornhub.com = pornhub.com = pornhub.com = pornhub.com = pornhub.com = pornhub.com = pornhub.com
-1
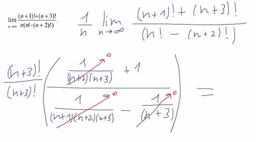
Пошаговое объяснение:
Можно было немного упростить себе жизнь: выразить все факториалы через n! и сократить на него. Для начала упростим дробь:
Можем раскрыть каждое произведение и запутаться. А можем просто вынести из каждой скобки общий множитель n . Тогда дробь примет вид:
Вернемся к пределу и вспомним, что предел отношения полиномов
При переменной, стремящейся к бесконечности равен:
Тогда, для этой задачи такой предел равен отношению коэффициентов перед n³ (слагаемые вида 1/n стремятся к 0, а значит сама скобка стремится к 1)