М
Молодежь
К
Компьютеры-и-электроника
Д
Дом-и-сад
С
Стиль-и-уход-за-собой
П
Праздники-и-традиции
Т
Транспорт
П
Путешествия
С
Семейная-жизнь
Ф
Философия-и-религия
Б
Без категории
М
Мир-работы
Х
Хобби-и-рукоделие
И
Искусство-и-развлечения
В
Взаимоотношения
З
Здоровье
К
Кулинария-и-гостеприимство
Ф
Финансы-и-бизнес
П
Питомцы-и-животные
О
Образование
О
Образование-и-коммуникации
крис898
крис898
10.10.2021 17:04 •  Математика

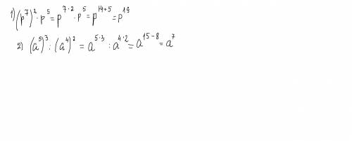
5. Подайте вираз у вигляді степеня:
1) (p7)2 • р5 =
2) (а5)3 : (a4)2 = ​

👇
Ответ:
lilulurens
lilulurens
10.10.2021

Пошаговое объяснение:

решение внизу

4,7(72 оценок)
Ответ:
5class1i
5class1i
10.10.2021

Пошаговое объяснение:

1) (p7)2 • р5 =р14*р5=р(14+5)=р19

2) (а5)3 : (a4)2 = ​а15:а8=а(15-8)=а7


5. Подайте вираз у вигляді степеня:1) (p7)2 • р5 =2) (а5)3 : (a4)2 = ​
4,8(85 оценок)
Открыть все ответы
Ответ:
Danielllllllll
Danielllllllll
10.10.2021
Если было поровну рыцарей и лжецов -значит их было четное количество.
Когда первый из 2015 сказал: Когда я уеду, на острове станет поровну рыцарей и лжецов, он мог оказаться рыцарем, т.к. после его уезда оставалось четное кол-во человек (но мог быть и лжецом). Когда уезжал 2 человек и произносил эту фразу -он определенно был лжец, т.к. после его уезда оставалось 2013 человек-т.е. нечетное кол-во. Соответственно, каждый человек, который уезжал четным был лжецом. Выясним сколько их было:
2, 4, 6, , 2014
2014=2+(n-2)2
2012=(n-1)2
n-1=1006
n=1007 -лжецов было точно.
Пройдемся от начала, с новой инфой, что лжецов было ≥1007.

1 случай. Если первый уезжающий -рыцарь, тогда из 2014 поровну рыцарей и лжецов, а также лжецов ≥1007, значит осталось 1007 рыцарей и 1007 лжецов.
Тогда с учетом первого рыцаря на острове было: 1007+1=1008 рыцарей.

2.Случай. Если первый уезжающий -лжец. из 2014 человек лжецов>1007,  а рыцарей <1007. Всего лжецов уже >1008 (из 2015 человек)
3ий уезжающий оставил после себя 2012 человек 
т.к. лжецов уже >1008, поровну уже ни при каком случае не получится. 
(т.к. чтобы из 2012 чел было поровну и л и р, их должно быть по 1006, из 2010 -1005 и меньше,)
Таки образом, последний человек который был 2015 по счету -был рыцарем, так как после него осталось равное кол-во лжецов и рыцарей =0)
итого : 2014 лжецов и 1 рыцарь.
4,5(35 оценок)
Ответ:
vikhas123
vikhas123
10.10.2021

Произносишь эти слова и сердце наполняется гордостью: огромна страна Россия, а моя малая родина - Краснодарский край.  

А нашим краем нельзя не гордиться. Какая у нас щедрая, уникальная природа! Благодаря ей Кубань по праву называется Жемчужиной России. Нет в стране другого уголка, где располагалось бы столько климатических зон. Это безграничные кубанские степи, схожая с полу - пустыней засушливая земля Тамани, камышовые плавни в устье Кубани, горы, покрытые вековыми лесами из бука, дуба. На вершинах гор могут лежать ледники, а внизу, у подножия, растут пальмы и мандарины, и даже произрастает самая теплолюбивая культура - чай. А ещё у нас есть южное теплое море, вернее два – Чёрное и Азовское.  

Великолепная природа нашего края сыграла огромную роль в том, что Россия получила право принимать в Сочи Зимнюю Олимпиаду 2014 года. Мы будем рады приветствовать на нашей кубанской земле лучших спортсменов всей планеты.  

Когда читаешь книги, смотришь фильмы об истории Кубани, то понимаешь, что она глубока и интересна. Как любому человеку, который любит свою Родину, свою малую Родину, мне хочется все больше узнавать о нашей Кубани, потому что это моих дедов и прадедов.  

Краснодарский край – это район древнейшего обитания человека. Все курганы, дольмены, раскопки – немые свидетели истории.  

И когда находишься рядом с дольменом, невольно рисуешь себе картины А скифские курганы, которые появились более 5 тысяч лет назад… В Эрмитаже, в «Золотой палате», с огромным любопытством я слушала рассказ гида и смотрела экспонаты скифского периода. Хотя изготовлены бусы, браслеты, ремни несколько тысяч лет назад, но это настоящие произведения искусства. Как ни гордтся нашей землёй!  

Современная история нашего края идёт от казаков-переселенцев, которые основали большинство современных городов и станиц Кубани. Оба моих прадедушки были казачьего рода станиц Ивановской и Варениковской.  

Я люблю слушать рассказы об их судьбе и жизни. Одно из первых казачьих поселений называлось Екатерининским в честь императрицы Екатерины ll. Она сыграла большую роль в жизни казаков, отдав казачьему войску земли на Тамани и берегах Кубани. А казаки, служа России, охраняли и сегодня охраняют южные границы нашей родины. В честь Екатерины ll и назван был город Екатеринодаром, нынешняя столица Кубани – Краснодар.  

История нашего края привлекает многих русских писателей и поэтов.  

Кубанские мотивы нашли отражение в их творчестве.  

«Очаровательный край! Сколько я почерпнул поэзии, сколько испытал разных впечатлений!» - писал А. С. Пушкин, проведя три месяца на Кавказе. Посещал нашу Кубань и М. Ю. Лермонтов. Своими впечатлениями он поделился в произведении «Тамань», побывав в Тамани по пути в Геленджик.  

Современные писатели и поэты много пишут о Кубани, о её природе, о её славных людях. Каждый год в Геленджике на базе профилактория, где работала моя мама, проводится творческая лаборатория для библиотекарей России, работающих в детских библиотеках. И несколько лет подряд сюда приезжал кубанский поэт Виталий Бакалдин. Мне посчастливилось с ним познакомиться. Это седовласый пожилой человек с лучистыми глазами. Много лет Виталий Бакалдин проработал в школе учителем русского языка и литературы. Он родился в Краснодаре, подростком пережил все тяготы Великой Отечественной войны, окончил Кубанский педагогический институт. Виталий Борисович очень любил детей, делился всегда своим опытом, любил читать свои стихи о Кубани.  

На Кубани вырос я,  

Мне родней, понятнее  

Наши южные края:  

Степи необъятные,  

Горы хлеба до небес,  

Ветки вишен алые…  

Сильное впечатление остаётся от общения с такими людьми. В 2009 году Виталия Бакалдина не стало. Но стихи его будут жить вечно в сердцах кубанцев.  

А сколько у нас в крае людей, которыми гордится Кубань! Всех не перечислить! Они выращивают хлеб и строят дома, совершают новые открытия в нас от болезней, воспевают красоту края в своих произведениях.  

Мы должны помнить о подвигах наших кубанцев в годы войны.  

Вместе со всей страной они дружно встали на защиту Отечества от фашистских захватчиков. И во время оккупации фашисты в полной мере ощутили на себе карающие действия партизан, стремительные атаки казаков, железную стойкость малоземельцев, огневую мощь советских воздушных асов.  

«Любите Кубань, изучайте её создавайте будущее!» Это слова из обращения нашего губернатора А. Н. Ткачёва к нам, детям Кубани. И мы следуем его словам, потому что любим свой край, свой город родной. Ведь для нас строятся новые школы, детские сады, спортивные комплексы.  

В этом году геленджикские девчонки и мальчишки получили от губернатора и от города великолепный подарок. Открылся свои двери новый центр развития творчества детей и юношества.  

Я горжусь, что живу на Кубани. Но гордиться мало, надо поддерживать славу «Жемчужины России». Это наша обязанность и дань уважения тем, кто создавал эту славу.

4,5(82 оценок)
Это интересно:
Новые ответы от MOGZ: Математика
logo
Вход Регистрация
Что ты хочешь узнать?
Спроси Mozg
Открыть лучший ответ