
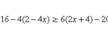
x>=1
Пошаговое объяснение:
пошаговое объяснение на фото
сделаю часть:
1. ответ Б) 4/9 (8 - 7 5/9 = 4/9);
2. от вет А) запятая поставлена не в том месте - 14,112 (420 = 100%, х = 28%, х = 420*28:100 = 117,6; далее 117,6 = 100%, х = 12%, х = 117,6*12:100 = 14,112);
5. ответ Г) 7 (В букете число красных цветов составляет 1/6 от числа жёлтых, т.е. 1 красный + 6 желтых. Когда из букета убрали 1 жёлтый цветок, число красных цветов составило 20% от числа жёлтых: 1 красный + 5 желтых, а 1/5 = 20%).
7. ответ В) 3 (4(1,5 - 3х) - 1,2(2,5 - 15х) = 3 + 6х).
9. ответ Г) -13 (-7-6-5-4-3-2-1+1+2+3+4+5 = -28 + 15 = -13).
дальше не знаю