М
Молодежь
К
Компьютеры-и-электроника
Д
Дом-и-сад
С
Стиль-и-уход-за-собой
П
Праздники-и-традиции
Т
Транспорт
П
Путешествия
С
Семейная-жизнь
Ф
Философия-и-религия
Б
Без категории
М
Мир-работы
Х
Хобби-и-рукоделие
И
Искусство-и-развлечения
В
Взаимоотношения
З
Здоровье
К
Кулинария-и-гостеприимство
Ф
Финансы-и-бизнес
П
Питомцы-и-животные
О
Образование
О
Образование-и-коммуникации
wista196
wista196
24.03.2023 22:31 •  Математика

Решите с объяснением
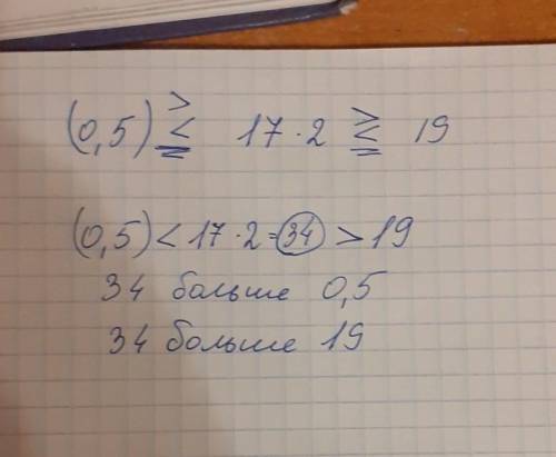
(0,5)^17*2^19

👇
Ответ:
andryushaivcheoo
andryushaivcheoo
24.03.2023

4

Пошаговое объяснение:

(0,5)^17*2^19=(0,5)^17*2^17*2^2=(2*0,5)^17*2^2=1^17*4=4

4,5(71 оценок)
Ответ:
Jdkrfzkebuhfhg1
Jdkrfzkebuhfhg1
24.03.2023

думаю так

просто мне так объясняли в школе


Решите с объяснением (0,5)^17*2^19
4,5(80 оценок)
Открыть все ответы
Ответ:
kalishevij99
kalishevij99
24.03.2023
Y=2.5fx+10f-1                                                                                                         y=12.5fx-1                                                                                                           y=12.5: (-1)                                                                                                           y= -12.5
4,7(24 оценок)
Ответ:
fukk123Q
fukk123Q
24.03.2023
В партер - 300 билетов.
В амфитеатр - в 4 раза больше, чем в партер.
На балкон - в 10 раз меньше билетов, чем партер + амфитеатр.
Всего - ?

Решение:
Сначала нам нужно найти, сколько билетов продали в амфитеатр:
1) 300 * 4 = 1 200 (б.)
Потом нам необходимо сложить количество проданных билетов в партер и амфитеатр:
2) 300 + 1 200 = 1 500 (б.)
После всего этого нужно вычислить кол-во билетов на балкон:
3) 1 500 : 10 = 150 (б.)
Только сейчас можно ответить на вопрос из задачи:
4) 300 + 1 200 + 150 = 1 650 (б.) всего.

ответ: всего было продано 1 650 билетов.
4,4(1 оценок)
Это интересно:
Новые ответы от MOGZ: Математика
logo
Вход Регистрация
Что ты хочешь узнать?
Спроси Mozg
Открыть лучший ответ