М
Молодежь
К
Компьютеры-и-электроника
Д
Дом-и-сад
С
Стиль-и-уход-за-собой
П
Праздники-и-традиции
Т
Транспорт
П
Путешествия
С
Семейная-жизнь
Ф
Философия-и-религия
Б
Без категории
М
Мир-работы
Х
Хобби-и-рукоделие
И
Искусство-и-развлечения
В
Взаимоотношения
З
Здоровье
К
Кулинария-и-гостеприимство
Ф
Финансы-и-бизнес
П
Питомцы-и-животные
О
Образование
О
Образование-и-коммуникации
grmej
grmej
04.03.2020 18:20 •  Математика

Решить (в ответ написать число):
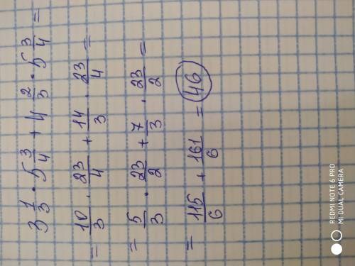
3 1/3*5 3/4+4 2/3*5 3/4
ХЕЛП

👇
Ответ:
4elo100
4elo100
04.03.2020

Общий множитель 5 3/4 = 5,75 вынесем за скобки:

= 5,75 · (3 1/3 + 4 2/3) = 5,75 · 7 3/3 = 5,75 · 8 = 46

ответ: 46.


Решить (в ответ написать число):3 1/3*5 3/4+4 2/3*5 3/4ХЕЛП
4,4(86 оценок)
Ответ:
aleksaprincessa
aleksaprincessa
04.03.2020

46

Пошаговое объяснение:

4,5(64 оценок)
Открыть все ответы
Ответ:
kiradark15
kiradark15
04.03.2020
Ангелина может купить Борщ, макароны с сыром и чай. Стоить всего это будет 30+36+10=76 рублей.

или суп куриный, макароны с сыром и чай. Всего стоить это будет: 35+36+10=81 рублей

Борщ, котлета куриная с рисом, чай. Всего стоить будет 30+42+10=82 рубля

ОТВЕТ: 76 рублей; борщ, макароны с сыром, чай.
              81 рублей; суп куриный, макароны с сыром, чай.
              82 рубля; Борщ, котлета куриная с рисом, чай.

P.S. Здесь есть ещё случаи, но в ответ нужно достаточно указать один возможный вариант обеда.
4,6(67 оценок)
Ответ:
polina1254
polina1254
04.03.2020
Ангелина может купить Борщ, макароны с сыром и чай. Стоить всего это будет 30+36+10=76 рублей.

или суп куриный, макароны с сыром и чай. Всего стоить это будет: 35+36+10=81 рублей

Борщ, котлета куриная с рисом, чай. Всего стоить будет 30+42+10=82 рубля

ОТВЕТ: 76 рублей; борщ, макароны с сыром, чай.
              81 рублей; суп куриный, макароны с сыром, чай.
              82 рубля; Борщ, котлета куриная с рисом, чай.

P.S. Здесь есть ещё случаи, но в ответ нужно достаточно указать один возможный вариант обеда.
4,4(30 оценок)
Это интересно:
Новые ответы от MOGZ: Математика
logo
Вход Регистрация
Что ты хочешь узнать?
Спроси Mozg
Открыть лучший ответ