М
Молодежь
К
Компьютеры-и-электроника
Д
Дом-и-сад
С
Стиль-и-уход-за-собой
П
Праздники-и-традиции
Т
Транспорт
П
Путешествия
С
Семейная-жизнь
Ф
Философия-и-религия
Б
Без категории
М
Мир-работы
Х
Хобби-и-рукоделие
И
Искусство-и-развлечения
В
Взаимоотношения
З
Здоровье
К
Кулинария-и-гостеприимство
Ф
Финансы-и-бизнес
П
Питомцы-и-животные
О
Образование
О
Образование-и-коммуникации
Maxiro
Maxiro
31.07.2022 21:19 •  Математика

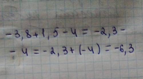
522. Вычислите:
-3, 8 + 1,5-4​

👇
Ответ:
zarya0207
zarya0207
31.07.2022

ответ -6,3

Пошаговое объяснение:

решала сама ,все верно


522. Вычислите:-3, 8 + 1,5-4​
4,4(75 оценок)
Открыть все ответы
Ответ:
Aydan204
Aydan204
31.07.2022
Решение:20-12=8 (д.) — разница в количестве. Решение:1)Вопрос:Сколько всего деталей коструктора ушло на тележку и подъёмного крана у Никиты?         12+20=32(д)-всего ушло на постройку           2)Вопрос:На сколько деталей больше понадобилось на подъёмный кран,чем на тележку Никите?         20-12=8(д)-больше Подъёмный кран — 20 д.Всего — ? д. (фигурная скобка от Тележки до Подъёмного крана)Чтобы сделать тележку, Никите потребовалось 12 деталей конструктора, а для подъёмного крана 20-деталей конструктора. На сколько больше деталей понадобилось для изготовления крана, чем для тележки?Подъёмный кран — 20 д.ответ: на изготовление крана и тележки Никите понадобилось 32 детали.На сколько больше деталей понадобилось для крана, чем для тележки? (круглая стрелка от Тележки до Подъёмного крана)12+20=32 (д.) — всего.Тележка — 12 д.Чтобы сделать тележку, Никите потребовалось 12 деталей конструктора, а для подъёмного крана 20-деталей конструктора. Сколько всего деталей понадобилось Никите на изготовление крана и тележки?ответ: для крана понадобилось на 8 деталей больше, чем для тележки.Тележка — 12 д.
4,7(74 оценок)
Ответ:
beisbue38
beisbue38
31.07.2022
ДАНО: S=112 км.  Sa>Sv  на 48 км за 1 час.
Tv-Ta= 7:28
НАЙТИ: Va=?
Пишем два уравнения.
1) Vv= Va- 48 - путь за 1 час - это скорость в км/час.
Переводим время 7:28 в часы -  7+28/60 = 7 7/15 час. = 112/15 час. 
2) S/Vv - S/Va =112/15 - время обгона велосипедиста
Приводим к общему знаменателю 2) подставив путь = 112 км.
112*Va - 112*Va +112*48  = Va*(Va-48)*(112/15)
V^2 - 48*V = 48*15 = 720
Решаем квадратное уравнение и получаем корни 
Va= 60 км/час. и  -12, которое нам не подходит.
Из уравнения 1) 
Vv = Va-48 = 12 км/час
ответ: Скорость автомобиля 60 км/час.
4,4(98 оценок)
Это интересно:
Новые ответы от MOGZ: Математика
logo
Вход Регистрация
Что ты хочешь узнать?
Спроси Mozg
Открыть лучший ответ