М
Молодежь
К
Компьютеры-и-электроника
Д
Дом-и-сад
С
Стиль-и-уход-за-собой
П
Праздники-и-традиции
Т
Транспорт
П
Путешествия
С
Семейная-жизнь
Ф
Философия-и-религия
Б
Без категории
М
Мир-работы
Х
Хобби-и-рукоделие
И
Искусство-и-развлечения
В
Взаимоотношения
З
Здоровье
К
Кулинария-и-гостеприимство
Ф
Финансы-и-бизнес
П
Питомцы-и-животные
О
Образование
О
Образование-и-коммуникации
snegirnasta543876
snegirnasta543876
19.09.2022 00:53 •  Математика

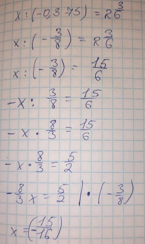
Решите уравнение: x: (-0, 375) = 2 3/6

👇
Ответ:
Адема12345
Адема12345
19.09.2022

x = - 15/16

Пошаговое объяснение:

- 0, 375 = - 3/8 (перевели в обычную дробь и сократили)

x : (-0,375) = 2 3/6

x : (-0,375) = 15/6

x = - 3/8 * 15/6

x = - 15/16

4,5(5 оценок)
Ответ:
lol1337rus
lol1337rus
19.09.2022

Там правильно я проверила


Решите уравнение: x: (-0, 375) = 2 3/6​
4,6(31 оценок)
Открыть все ответы
Ответ:

Чтобы узнать число мест нужно найти НОД, сначала раскладываем на простые множители

252=2*2*3*3*7

396=2*2*3*3*11

Чтобы найти НОД нужно умножить все повторяющееся числа, следовательно

НОД(252,396)=2*2*3*3=36

То есть 36 мест в поезде.

В первом поезде чтобы узнать сколько купейных вагонов нужно общее количество мест поделить на количество мест в одном вагоне

252:36=7

Со вторым вагоном делаем тоже самое

396:36=11

И считаем сколько всего

11+7=18

ответ: 7 купейных вагонов в первом поезде, 11 купейных вагонов во втором поезде, 18 купейных вагонов всего.

Поставь лучший ответ, очень старался :)

4,5(92 оценок)
Ответ:
hiopjkokop
hiopjkokop
19.09.2022

16 метров.

Пошаговое объяснение:

Для решения данного задания, вспомним, чтобы найти число по его части, выраженной дробью, нужно данное число разделить на дробь. Вычислим длину всей проволоки, зная, что 3/4 часть от нее составляет 12 метров.

12 : 3/4 = 12 * 4 / 3 = 4 * 4 = 16 (м)

Чтобы разделить обыкновенную дробь , надо числитель делимого умножить на знаменатель делителя, а знаменатель делимого умножить на числитель делителя. Первое произведение взять числителем, а второе — знаменателем.

ответ: 16 метров.

4,8(49 оценок)
Это интересно:
Новые ответы от MOGZ: Математика
logo
Вход Регистрация
Что ты хочешь узнать?
Спроси Mozg
Открыть лучший ответ