М
Молодежь
К
Компьютеры-и-электроника
Д
Дом-и-сад
С
Стиль-и-уход-за-собой
П
Праздники-и-традиции
Т
Транспорт
П
Путешествия
С
Семейная-жизнь
Ф
Философия-и-религия
Б
Без категории
М
Мир-работы
Х
Хобби-и-рукоделие
И
Искусство-и-развлечения
В
Взаимоотношения
З
Здоровье
К
Кулинария-и-гостеприимство
Ф
Финансы-и-бизнес
П
Питомцы-и-животные
О
Образование
О
Образование-и-коммуникации
vika030620071
vika030620071
26.12.2021 07:55 •  Математика

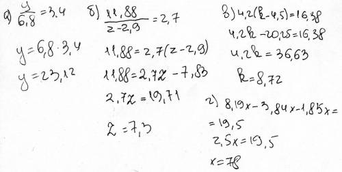
Решить: а) y: 6,8=3,4 б) 11,88: (z-2,9)=2,7 в) 4,2*(k-4,5)=16,38 г) 8,19x-3,84x-1,85x=19,5 !

👇
Ответ:
limpompo2112
limpompo2112
26.12.2021

 y:6,8=3,4

у=3,4*6,8

у=23,12

 

11,88:(z-2,9)=2,7

z-2,9=11,88:2,7

z-2,9=4,4

z=4,4+2,9

z=7,3

 

4,2*(k-4,5)=16,38

к-4,5=16,38:4,2

к-4,5=3,9

к=3,9+4,5

к=8,4

 

8,19x-3,84x-1,85x=19,5

2,5х=19,5

х=19,5:2,5

х=7,8

4,6(22 оценок)
Ответ:
Kodan123
Kodan123
26.12.2021

......................................


Решить: а) y: 6,8=3,4 б) 11,88: (z-2,9)=2,7 в) 4,2*(k-4,5)=16,38 г) 8,19x-3,84x-1,85x=19,5 !
4,4(60 оценок)
Открыть все ответы
Ответ:
Kirill91623
Kirill91623
26.12.2021

Я дуже захоплюся художньою фотографією. Все почалося два роки тому, коли я ходила з батьками на виставку робіт відомого фотохудожника. На жаль, я забула його ім’я, але деякі його роботі досі нібито стоять у мене перед очима – настільки вони мене вразили.

Батьки мене підтримали і віддали мені свою фотокамеру; я й зараз нею знімаю. Вона не дуже сучасна, але я давно помітила, що від технічних характеристик камери залежить не так багато, як зазвичай вважається. Як на мене, навіть найсучасніша камера не навчить людину бачити красоту, вибирати вдалий кадр та ракурс. Для цього потрібні певні здібності, і я дуже рада, що у мене вони є.

За два роки я багато чому навчилася і продовжую навчатися. Я розумію, що це навчання ніколи не закінчиться, бо немає межі досконалості.

4,4(25 оценок)
Ответ:
влад2306
влад2306
26.12.2021

Я дуже захоплюся художньою фотографією. Все почалося два роки тому, коли я ходила з батьками на виставку робіт відомого фотохудожника. На жаль, я забула його ім’я, але деякі його роботі досі нібито стоять у мене перед очима – настільки вони мене вразили.

Батьки мене підтримали і віддали мені свою фотокамеру; я й зараз нею знімаю. Вона не дуже сучасна, але я давно помітила, що від технічних характеристик камери залежить не так багато, як зазвичай вважається. Як на мене, навіть найсучасніша камера не навчить людину бачити красоту, вибирати вдалий кадр та ракурс. Для цього потрібні певні здібності, і я дуже рада, що у мене вони є.

За два роки я багато чому навчилася і продовжую навчатися. Я розумію, що це навчання ніколи не закінчиться, бо немає межі досконалості.

4,5(52 оценок)
Новые ответы от MOGZ: Математика
logo
Вход Регистрация
Что ты хочешь узнать?
Спроси Mozg
Открыть лучший ответ