М
Молодежь
К
Компьютеры-и-электроника
Д
Дом-и-сад
С
Стиль-и-уход-за-собой
П
Праздники-и-традиции
Т
Транспорт
П
Путешествия
С
Семейная-жизнь
Ф
Философия-и-религия
Б
Без категории
М
Мир-работы
Х
Хобби-и-рукоделие
И
Искусство-и-развлечения
В
Взаимоотношения
З
Здоровье
К
Кулинария-и-гостеприимство
Ф
Финансы-и-бизнес
П
Питомцы-и-животные
О
Образование
О
Образование-и-коммуникации
елена1154
елена1154
23.10.2022 22:01 •  Математика

Однородные уравнения
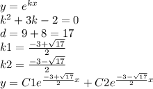
y''+3y'-2y=0

👇
Ответ:
ангел769
ангел769
23.10.2022

y'' + 3y' - 2y = 0

замена:

y = {e}^{kx} \\ {k}^{2} + 3k - 2 = 0 \\ d = 9 + 8 = 17 \\ k1 = \frac{ - 3 + \sqrt{17} }{2} \\ k2 = \frac{ - 3 - \sqrt{17} }{2} \\ y = C1 {e}^{ \frac{ - 3 + \sqrt{17} }{2} x} + C2 {e}^{ \frac{ - 3 - \sqrt{17} }{2} x}

4,4(15 оценок)
Открыть все ответы
Ответ:
slv13
slv13
23.10.2022

Пошаговое объяснение:

– Какие необычные, усложненные и деформированные зрительные образы встречаются в известных вам ранних стихах поэта?

– Как отмеченная исследовательницей особенность соотносится с футуристическим пониманием образности в поэзии?

Неожиданные штрафы для владельцев частных домов и дачников:

подробное описание основных нарушений.

Судьба Донбасса решена заявление Путина

«Распад России в 2025 году»:

неожиданное заявление от самого...

– Согласны ли вы с тем, что ранняя поэзия Маяковского «горделивая» и «демоническая»? Если да, то в чем, в каких стихах наиболее ярко проявляется эта особенность?

– Согласны ли вы с тем, что ранняя лирика поэта выглядит как «безмерно обреченная, гибнущая, почти зовущая на Бавин пишет: «Традиционный для Маяковского пренебрежительно-вызывающий тон не мог скрыть внятного чуткому слушателю крика боли за страдающую душу современного человека».

– Как проявляется, какими средствами создается «пренебрежительно-вызывающий тон» в ранней лирике Маяковского?

– Согласны ли вы с тем, что в поэзии Маяковского раннего периода слышен крик «боли за страдающую душу современного человека»? Чем вызваны, если судить по лирике Маяковского, страдания души современного ему человека?

– Как в процитированном исследовательницей стихотворении раскрывается мысль об «одинокости лирического героя»? Согласны ли вы с тем, что эта черта характерна вообще для раннего творчества Маяковского? Аргументируйте свой ответ. Приведите примеры.

– Как Маяковский показывает «бездушие окружающего мира»? Какие образные средства и насколько убедительно он при этом использует?

– Есть ли в окружающем поэта мире то, что вызывает его симпатии, то, что не относится к нему бездушно, если судить по ранней лирике Маяковского?

9.  Юрий Тынянов считал, что стих Маяковского «породил особую систему стихового смысла. Слово занимало целый стих, слово выделялось, и поэтому фраза (тоже занимающая целый стих) была приравнена к слову, сжималась».

– Как часто в ранней поэзии Маяковского слово занимает целый стих? Как вы думаете, о каком стремлении свидетельствует такая особенность стиха Маяковского?

– Как вы считаете, какой характер поэзии Маяковского сообщает то, что фраза приравнивается к слову? О каком отношении к слову свидетельствует данная особенность и как она соотносится с теорией и практикой футуристической школы в поэзии?

10.  считает, что стихотворение «Послушайте!» – это «прямое обращение к слушателю»: «Поэт еще плохо представляет себе своих союзников, не различает лица заинтересованных слушателей, но он страстно хочет, чтобы они скорее появились, разделили с ним радость и любовь, отчаяние и надежду. В мольбах и уверениях «тревожного, но спокойного наружно» персонажа стихотворения, не выносящего «беззвездную муку», много затаенных надежд и желаний автора».

– Согласны ли вы с тем, что стихотворение «Послушайте!» свидетельствует о надежде на скорое появление «союзников» поэта, которые бы «разделили с ним радость и любовь, отчаяние и надежду»?

– Прав ли, по вашему мнению, исследователь, находя «персонажа стихотворения», а не его лирического героя? Возможно, что данный во не представляется вам принципиальным? Почему?

– Согласны ли вы с тем, что во поэта в стихотворении «Послушайте!» «недоуменный»? Почему?

– Свидетельствует ли это стихотворение о том, что является предметом мечтаний лирического героя? Можете ли вы согласиться с тем, что стихотворение «Послушайте!» вызвано к жизни «несовершенством жизнеустройства» и «резким несоответствием мечты и действительности»?

– Согласны ли вы с тем, что стихотворение «Нате!» свидетельствует о полном разделе поэта с миром, в котором он живет? Почему?

– Кто, по вашему мнению, является адресатом этого стихотворения? Почему ученый даже само название стихотворения «Нате!» называет «вызывающим»?

4,5(68 оценок)
Ответ:
rmshturkop01n73
rmshturkop01n73
23.10.2022

Всего существует 18 000 пятизначных чисел, сумма цифр которых делится на 5

Пошаговое объяснение:

* * * * * - пятизначное число.

Цифр всего десять: 0, 1, 2, 3, 4, 5, 6, 7, 8, 9

На первое место (на место десятков тысяч) можно поставить любую цифру из десяти (10 вариантов), на второе (на место тысяч) можно поставить любую цифру из десяти (10 вариантов), на третье место (на место сотен) можно поставить любую цифру из десяти (10 вариантов), на четвертое место (на место десятков), также, можно поставить любую цифру из десяти (10 вариантов).

Теперь главное - пятое место (место единиц). Чтобы сумма цифр числа делилась на пять, существует лишь два варианта.

Обоснование: Если сумма первых четырёх цифр уже делится на 5, то последнее число должно быть равно 5 или 0; если сумма первых четырёх цифр при делении на 5 даёт нам остаток 1, то последняя цифра должна быть 4 или 9; если сумма первых четырёх цифр при делении на 5 даёт нам остаток 2, то последняя цифра должна быть 3 или 8; при остатке три - это 2 или 7, при остатке 4 - это 1 или 6. Т.е. всегда лишь 2 варианта.

Перемножив все полученные варианты, получаем общее количество чисел 9*10*10*10*2=18 000

4,6(99 оценок)
Новые ответы от MOGZ: Математика
logo
Вход Регистрация
Что ты хочешь узнать?
Спроси Mozg
Открыть лучший ответ