М
Молодежь
К
Компьютеры-и-электроника
Д
Дом-и-сад
С
Стиль-и-уход-за-собой
П
Праздники-и-традиции
Т
Транспорт
П
Путешествия
С
Семейная-жизнь
Ф
Философия-и-религия
Б
Без категории
М
Мир-работы
Х
Хобби-и-рукоделие
И
Искусство-и-развлечения
В
Взаимоотношения
З
Здоровье
К
Кулинария-и-гостеприимство
Ф
Финансы-и-бизнес
П
Питомцы-и-животные
О
Образование
О
Образование-и-коммуникации
vladbochilo
vladbochilo
25.12.2020 05:55 •  Математика

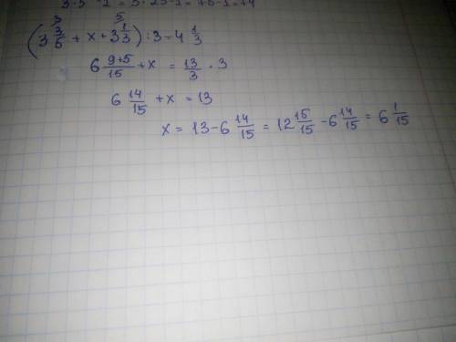
Решите уравнение (3 3/5 + x + 3 1/3 ) : 3 = 4 1/3
с решением ​

👇
Ответ:
vladamalaxova
vladamalaxova
25.12.2020

ответ:фото

Пошаговое объяснение:


Решите уравнение (3 3/5 + x + 3 1/3 ) : 3 = 4 1/3 с решением ​
4,5(91 оценок)
Открыть все ответы
Ответ:
hanbek81
hanbek81
25.12.2020
1  34*100=34000
2 число которое больше 19 в 400 раз- 19*400 19*4=76*100=7600
3 произведение это значение умноженных чисел получается 354*100= к 354 добавляем 2 нуля получаем 35400
4 десятков в числе 60000 - 6000
5 в числе 7389- 3 сотни так-как сотни стоят 3
6 23* 10 =230
7 для того чтобы найти частное чисел нужно 480/4= 120
8 увеличить на значит прибавить 2120+156=2276
9 значение частного это х-у=с значит (720-180)/5=540/5=108
10 нужно 126 кг /14 кг =9 корзин понадобилось садовнику 
11 960/6=160
12 120*7=840
4,8(32 оценок)
Ответ:

Ну так ты дай примеры

upd:Если ты спрашиваешь, как это понять, то:

Если при делении чисел получается бесконечная десятичная дробь, то это число округляют с заданной точностью. Округлить число до сотых долей, это значит, что после сотых все цифры нужно отбросить. Только существует правило округления: если первая отбрасываемая цифра 1,2,3,4, то последняя из оставляемых не увеличивается; если же первая из отбрасываемых цифр 5 и больше, то последняя цифра заданной точности увеличивается на 1.

Например: 5/7=0,714285=0,71 (число приближенное с точностью до 0,01 - сотых долей)

17/13=1,30769=1,31 - число приближенное с точностью до 0,01).

4,6(79 оценок)
Это интересно:
Новые ответы от MOGZ: Математика
logo
Вход Регистрация
Что ты хочешь узнать?
Спроси Mozg
Открыть лучший ответ