М
Молодежь
К
Компьютеры-и-электроника
Д
Дом-и-сад
С
Стиль-и-уход-за-собой
П
Праздники-и-традиции
Т
Транспорт
П
Путешествия
С
Семейная-жизнь
Ф
Философия-и-религия
Б
Без категории
М
Мир-работы
Х
Хобби-и-рукоделие
И
Искусство-и-развлечения
В
Взаимоотношения
З
Здоровье
К
Кулинария-и-гостеприимство
Ф
Финансы-и-бизнес
П
Питомцы-и-животные
О
Образование
О
Образование-и-коммуникации
аноним56889
аноним56889
11.04.2020 18:36 •  Математика

2,3 : 5 3/4 = 5x : 6 1/4 ; и 5x : 2,7 = 6 1/4 : 6 3/4

👇
Ответ:
сергей940
сергей940
11.04.2020

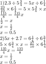
1)2.3 \div 5 \frac{3}{4} = 5x \div 6 \frac{1}{4} \\ \frac{23}{10} \times 6 \frac{1}{4} = 5 \times 5 \frac{3}{4} \times x \\ \frac{115}{8} = \frac{115}{4} x \\ \frac{1}{2} = x \\ x = \frac{1}{2} \\ x = 0.5 \\ 2)5x + 2.7 = 6 \frac{1}{4} \div 6 \frac{3}{4} \\ 5 \times 6 \frac{3}{4} \times x = \frac{27}{10} \times 6 \frac{1}{4} \\ \frac{135}{4} x = \frac{135}{8} \\ x = \frac{1}{2} \\ x = 0.5

4,7(91 оценок)
Открыть все ответы
Ответ:
zippops
zippops
11.04.2020
Сочинение / Минем яраткан шөгылем 
Мин нәрсә эшләргә яратам соң? Китап укырга, компьютерда төрле уеннар уйнарга, савыт-саба юарга һәм, әлбәттә инде, торт пешерергә яратам. 
Әле кайчан гына мин ашарга пешерергә бөтенләй дә яратмый идем, чынлап торып бәрәңге дә кыздырганым юк иде. Әмма, әни белән торт пешерергә уйлаган көннән соң, барысы да үзгәрде. 
Беркөнне шулай әни белән торт пешерергә керештек. Ләкин әни үзе дә торт пешерә белми икән бит. Безнең камыр табага ябышып көйде. Крем артык сыек булып агып бетте. Никадәр ризыкны гына әрәм иттек. Ә әнинең бик тә өйдә пешергән торт ашыйсы килә иде. Щуннан соң мин әниемә сюрприз ясарга булдым. 
Икенче көнне, мәктәптән кайткач, мин торт пешерергә керештем. Аш-су китабын алдым да андагы бер рецепт буенча торт ясый башладым. Килеп чыкты бит! Тәмле торт ясау алай ук авыр түгел икән. 
Әни эштән кайтуга, крем белән матур итеп бизәлгән яңа пешкән хуш исле торт өстәлдә тора иде инде. Мин дә үз-үземнән канәгать булып, шатланып, әниемне каршы алдым. И, әнинең мине мактаганын күрсәгез! 
Мин, берникадәр вакыттан соң гына әниемнең тортлар пешерә белүен аңладым. Ә теге көнне ул торт пешерә белмәгән булып юри генә кыланган икән. Шулай итеп ул минем пешерергә өйрәнүемне теләгән. Әнинең хәйләсе үзен тулысыңча аклады. Хәзер тортлар һәм бәлешләр пешерү − минем иң яраткан шөгылем. 
4,4(54 оценок)
Ответ:
ZakFeir
ZakFeir
11.04.2020
Вот эти актёры

Аав, ТынуАавик, ЭвальдАбаджян, Владимир АмвросьевичАбазопуло, Владимир КонстантиновичАбайдулов, Гали МягазовичАбакаров, Асхаб ТинамагомедовичАбалян, Эдуард ГайковичАбашев, Владимир ВладимировичАбашидзе, Василий АлексеевичАбашидзе, Давид ИвановичАбашидзе, ЛеванАббасов, Аладдин Аслан оглыАббасов, Гаджи Ага Муталиб оглыАббасов, Мирза АлиАбдельмаджид ЛахальАбдикаримов, МуздыбекАбдраимов, Фархат НурсултановичАбдрасулов, КурванАбдукундузов, МухаммадалиАбдулаев, Анатолий ГафаровичАбдуллаев, Лютфали Амир оглыАбдулов, Александр ГаврииловичАбдулов, Всеволод ОсиповичАбдулов, Гавриил ДаниловичАбдулов, Осип НаумовичАбдулхаликов, Махмуд , Рим СалимьяновичАбдусаламов, Шавкат ФазиловичАбелян, Ованес АртемьевичАбер, ПитерАбжалилов, Халил ГалеевичАбкарян, СимонАболиньш, ГундарсАболиньш, ТаливалдисАбрамов, Анатолий ВасильевичАбрамов, Пётр ВалерьевичАбрамян, Хорен БабкеновичАбрикосов, Андрей ЛьвовичАбрикосов, Григорий АндреевичАбролат, ВернерАбросимов, Владимир СергеевичАбушахманов, Ахтям АхатовичАбэ, ЮтакаАвалиани, Ной ИвановичАвалон, ФрэнкиАвалос, ЛуисАвари, ЭрикАвдюшко, Виктор АнтоновичАвенс, ХарийАверин, Юрий ИвановичАверюшкин, Николай ВладимировичАветисян, Авет МаркосовичАветян, Григор КарапетовичАвилес, РикАвилов, Виктор ВасильевичАвни, АкиАвотс, ЭнрикоАврамов, Иван ИвановичАвшаров, Юрий МихайловичАга-Мирзаев, Мухтар КардашхановичАгаев, Алиага Исмаил оглыАгаев, Октай Бахрам оглыАгамирзян, Рубен СергеевичАгапов, Иван ВалерьевичАгар, ДжонАгафонов, Иван АгеевичАгваанцэрэнгийн ЭнхтайванАгеев, Виктор Иванович (актёр)Агеев, Евгений ИвановичАгеев, Игорь ВалентиновичАгзамов, ГаниАгзамов, ЮлдашАгопьян, Алексей МиграновичАгранович, Алексей МихайловичАгустин ЛараАдабашьян, Александр АртёмовичАдам АнтАдаме, АльфредоАдамс, ДжонатанДон АдамсАдамс, МейсонАдамский, Ян (актёр)Адашев, Александр ИвановичАдашев, Раджаб ХалимовичАдашевский, Константин ИгнатьевичАддамс, ДоунАдельштейн, ПолАдерманис, ИмантсАджемян, Вартан МкртичевичАдомайтис, Регимантас ВайткусовичАдос
4,4(61 оценок)
Это интересно:
Новые ответы от MOGZ: Математика
logo
Вход Регистрация
Что ты хочешь узнать?
Спроси Mozg
Открыть лучший ответ