М
Молодежь
К
Компьютеры-и-электроника
Д
Дом-и-сад
С
Стиль-и-уход-за-собой
П
Праздники-и-традиции
Т
Транспорт
П
Путешествия
С
Семейная-жизнь
Ф
Философия-и-религия
Б
Без категории
М
Мир-работы
Х
Хобби-и-рукоделие
И
Искусство-и-развлечения
В
Взаимоотношения
З
Здоровье
К
Кулинария-и-гостеприимство
Ф
Финансы-и-бизнес
П
Питомцы-и-животные
О
Образование
О
Образование-и-коммуникации
Nikitos220220
Nikitos220220
25.08.2020 05:29 •  Математика

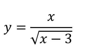
1. Найти область определения функции; 2. Исследовать функцию на чётность (нечётность) и на периодичность (для тригонометрических функций);
3. Найти точки разрыва функции и вертикальные асимптоты (если они существуют);
4. Исследовать поведение функции в бесконечности, найти горизонтальные и наклонные
асимптоты;
5. Найти экстремумы и интервалы монотонности функции;


1. Найти область определения функции; 2. Исследовать функцию на чётность (нечётность) и на периодичн

👇
Открыть все ответы
Ответ:
lllviktorialll
lllviktorialll
25.08.2020

Я буду убеждать, чтобы они купили карины так
... Сначала я привлеку их: " А вы знаете, что эти картины делали  великие флористы?!  О, какие они были замечательные! " И они, конечно же, увлекутся и начнут рапрашивать:
" За сколько продаете?  Это очень ценный экземпляр? " и т.д. Но я никогда не начну сразу говорить им ответы! Добавим немного интриги: " Несовсеем много, но и несовсем мало. Раз флористы великие- значит и экземпляр такой же." " А он единственный?" "Все настоящее- единственно" И я начну их забалтывать. Так я и продам эти картины.

4,4(29 оценок)
Ответ:
sabinab13
sabinab13
25.08.2020
Так как периметр равен 24 см, то полупериметр (сумма длин двух смежных сторон) равен 24 : 2=12 см. Пусть одна сторона х см, тогда другая сторона (12-х) см. Проверим площадь:
х(12-х)=35             х(12-х)=28
12х-х²-35=0           12х-х²-28=0
х²-12х+35=0           х²-12х+28=0
Д=144-140=4         Д=144-112=32
х(1)=(12-2)/2=5      х(1)=(12+4√2) / 2 = 6+2√2  
х(2)=(12+2)/2=7     х(2)=(12-4√2)/2 = 6-2√2

12-5=7 (см) вторая сторона
12-7=5 (см) вторая сторона
ответ: Площадь данного прямоугольника может быть только 35 см²
4,4(19 оценок)
Это интересно:
Новые ответы от MOGZ: Математика
logo
Вход Регистрация
Что ты хочешь узнать?
Спроси Mozg
Открыть лучший ответ