
ответ:
нажми, чтобы узнать больше
декабря 00: 55
решите уравнение x^4-24x^2-25=0 (x^2-2x)(x^2-2x-27)+72=0
ответ или решение1
кудряшов максим
1) x^4 - 24x^2 - 25 = 0;
введем новую переменную x^2 = y;
y^2 - 24y - 25 = 0;
d = b^2 - 4ac;
d = (-24)^2 - 4 * 1 * (-25) = 576 + 100 = 676; √d = 26;
x = (-b ± √d)/(2a);
y1 = (24 + 26)/2 = 50/2 = 25;
y2 = (24 - 26)/2 = -2/2 = -1.
выполним обратную подстановку:
a) x^2 = 25;
x1 = 5; x2 = -5;
б) x^2 = -1 - корней нет, т.к. квадрат числа не может быть отрицательным.
ответ. 5; - 5.
2) (x^2 - 2x)(x^2 - 2x - 27) + 72 = 0;
введем новую переменную x^2 - 2x = y;
y(y - 27) + 72 = 0;
y^2 - 27y + 72 = 0;
d = (-27)^2 - 4 * 1 * 72 = 729 - 288 = 441; √d = 21;
y1 = (27 + 21)/2 = 48/2 = 24;
y2 = (27 - 21)/2 = 6/2 = 3.
выполним обратную подстановку:
a) x^2 - 2x = 24;
x^2 - 2x - 24 = 0;
d = (-2)^2 - 4 * 1 * (-24) = 4 + 96 = 100; √d = 10;
x1 = (2 + 10)/2 = 12/2 = 6;
x2 = (2 - 10)/2 = -8/2 = -4;
б) x^2 - 2x = 3;
x^2 - 2x - 3 = 0;
d = (-2)^2 - 4 * 1 * (-3) = 4 + 12 = 16; √d = 4;
x3 = (2 + 4)/2 = 6/2 = 3;
x4 = (2 - 4)/2 = -2/2 = -1.
ответ. -4; -1; 3; 6.
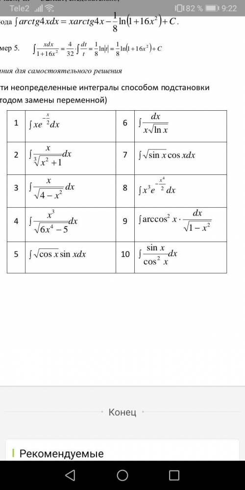
решение на фотографии, здесь 9 интегралов. Первого нет, так как он решается по частям