М
Молодежь
К
Компьютеры-и-электроника
Д
Дом-и-сад
С
Стиль-и-уход-за-собой
П
Праздники-и-традиции
Т
Транспорт
П
Путешествия
С
Семейная-жизнь
Ф
Философия-и-религия
Б
Без категории
М
Мир-работы
Х
Хобби-и-рукоделие
И
Искусство-и-развлечения
В
Взаимоотношения
З
Здоровье
К
Кулинария-и-гостеприимство
Ф
Финансы-и-бизнес
П
Питомцы-и-животные
О
Образование
О
Образование-и-коммуникации
samsamokruxa
samsamokruxa
15.06.2022 05:20 •  Математика

Улитка ползет от одного дерева до другого. Каждый день она проползает на одно и то же ответ:
14.
расстояние меньше, чем в предыдущий день. Известно, что за первый и последний дни
Улитка проползла в сумме 9,5 метра. Определите, сколько дней улитка потратила на весь
путь, если расстояние между деревьями равно 57 метрам.​

👇
Ответ:
tanyaonuchkomailru
tanyaonuchkomailru
15.06.2022

Пошаговое объяснение:

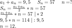
a_1+a_n=9,5 \ \ \ \ S_n=57\ \ \ \ n=?\\S_n=\frac{a_1+a_n}{2} *n=57\\\frac{a_1+a_n}{2}*n=57\ |*2\\9,5*n =114\ |:9,5\\n=12.\\

ответ: улитка потратила на весь  путь 12 дней.

4,5(62 оценок)
Открыть все ответы
Ответ:
see99aa
see99aa
15.06.2022

Пошаговое объяснение:

Для начала нам нужно узнать какое количество тонн в сутки за 3 смены выпекают на хлебозаводе ржаного хлеба.

1) 12 * 3 = 36 (т)-выпекают ржаного хлеба в сутки за 3 смены

Потом  мы вычислим сколько тонн пшеничного хлеба за сутки работая в все 3 смены выпекают на хлебозаводе.

2) 6 * 3 = 18 (т)-выпекают  пшеничного хлеба в сутки за 3 смены

Далее находим сколько тонн хлеба выпекают за сутки.

3) 36 + 18 = 54 (т)-всего выпекли хлеба в сутки

И последнее действие теперь мы узнаем сколько всего тонн хлеба выпекают за 10 суток.

4) 54 * 10 = 540 (т) - всего испекли хлеба

ОТВЕТ: За десять суток на хлебозаводе испекут 540 тонн хлеба.

4,4(82 оценок)
Ответ:
иришка98
иришка98
15.06.2022

Пошаговое объяснение:

Для начала нам нужно узнать какое количество тонн в сутки за 3 смены выпекают на хлебозаводе ржаного хлеба.

1) 12 * 3 = 36 (т)-выпекают ржаного хлеба в сутки за 3 смены

Потом  мы вычислим сколько тонн пшеничного хлеба за сутки работая в все 3 смены выпекают на хлебозаводе.

2) 6 * 3 = 18 (т)-выпекают  пшеничного хлеба в сутки за 3 смены

Далее находим сколько тонн хлеба выпекают за сутки.

3) 36 + 18 = 54 (т)-всего выпекли хлеба в сутки

И последнее действие теперь мы узнаем сколько всего тонн хлеба выпекают за 10 суток.

4) 54 * 10 = 540 (т) - всего испекли хлеба

ОТВЕТ: За десять суток на хлебозаводе испекут 540 тонн хлеба.

4,7(91 оценок)
Это интересно:
Новые ответы от MOGZ: Математика
logo
Вход Регистрация
Что ты хочешь узнать?
Спроси Mozg
Открыть лучший ответ