М
Молодежь
К
Компьютеры-и-электроника
Д
Дом-и-сад
С
Стиль-и-уход-за-собой
П
Праздники-и-традиции
Т
Транспорт
П
Путешествия
С
Семейная-жизнь
Ф
Философия-и-религия
Б
Без категории
М
Мир-работы
Х
Хобби-и-рукоделие
И
Искусство-и-развлечения
В
Взаимоотношения
З
Здоровье
К
Кулинария-и-гостеприимство
Ф
Финансы-и-бизнес
П
Питомцы-и-животные
О
Образование
О
Образование-и-коммуникации
krepkinapolina29
krepkinapolina29
28.07.2022 13:03 •  Математика

Примеры по матеше. Даю много. ​


Примеры по матеше. Даю много. ​

👇
Ответ:
diana6k3
diana6k3
28.07.2022
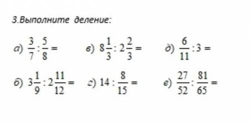
А) 24/35
Б)16/15
В) 25/8
Г)105/4
Д)2/11
Е)5/12
4,8(13 оценок)
Открыть все ответы
Ответ:
ТвойЩенок
ТвойЩенок
28.07.2022
1 слесарный верстак 2 3Крейцмесель (используется для изготовления узких канавок в металлах, и их прорубания);
Труборез (специальное при при которого режут трубы);
Сверлильная стойка (миниатюрный сверлильный станок, в котором устанавливается дрель и зажимается заготовка);
Плашка (инструмент, при которого выполняется нарезание наружной резьбы);
Плашкодержатель (при для фиксации плашек);
Угломер (измерительный прибор, при которого определяют угол градуса, является разновидностью транспортира, но дополнительно снабжен стрелкой-указателем, которая поворачивается);
Паяльник (предназначен для спаивания металлических деталей);
Дрель (инструмент, который используется для сверления отверстий, может быть ручной или электрической);
Ручная ножовка по металлу (при для резки листового металла, профиля или труб);
Ножницы по металлу (специальные ножницы, которыми можно резать тонкие и мягкие листы металла);
Плоскогубцы, пассатижи, тиски (применяются для фиксирования деталей в определенном положении).4. зажимать предмет обработки ( для удобства)
ответить на вопросы по технол.: рабочее место для ручной обработки металлов 1. как называется рабоче
4,4(66 оценок)
Ответ:
Sonya2896
Sonya2896
28.07.2022
Пусть АВС равнобедренный треуг. с основанием АС,ВД-высота. угол В=120 градусов,тогда уголА=углуС=(180-120):2=30 .Обозначим боковую сторону через х,тогда высота ВД=х/2(как катет противолежащий углу 30 градусов в прямоугольном треугольнике АВД) По теореме Пифагора из треуг.АВД х²=х²/4+(2√2)²  (АД=2√2 т.к. высота,проведенная к основанию равнобедренного треуг. является и медианой,т.е. АД=ДС=4√2/2) Решим это уравнение и найдем х=4 см. Значи высота ВД=4:2=2 см.
Площадь АВС=1/2 *АС*ВД=1/2*4√2*2=4√2 см². С другой стороны =1/2*АВ*СН,значит высота СН=2√2 см,аналочично высота АК=2√2 см
4,5(32 оценок)
Новые ответы от MOGZ: Математика
logo
Вход Регистрация
Что ты хочешь узнать?
Спроси Mozg
Открыть лучший ответ