М
Молодежь
К
Компьютеры-и-электроника
Д
Дом-и-сад
С
Стиль-и-уход-за-собой
П
Праздники-и-традиции
Т
Транспорт
П
Путешествия
С
Семейная-жизнь
Ф
Философия-и-религия
Б
Без категории
М
Мир-работы
Х
Хобби-и-рукоделие
И
Искусство-и-развлечения
В
Взаимоотношения
З
Здоровье
К
Кулинария-и-гостеприимство
Ф
Финансы-и-бизнес
П
Питомцы-и-животные
О
Образование
О
Образование-и-коммуникации
Саша23458
Саша23458
15.10.2022 16:12 •  Математика

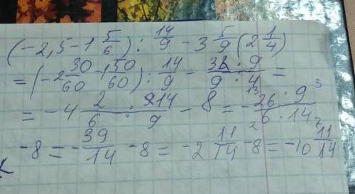
8. Вычислите: (-2,5-1 целая 5/6):14/9-3целых 5/9 ( 2 целых
1/4).

👇
Ответ:
leranik4
leranik4
15.10.2022

на фото решила

вроде бы правильно,надеюсь

ответ : -10 11/14


8. Вычислите: (-2,5-1 целая 5/6):14/9-3целых 5/9 ( 2 целых1/4).
4,7(18 оценок)
Открыть все ответы
Ответ:
Тема : Воздушная гимнастика

Воздушная гимнастика, один из видов цирковой гимнастики, призвана демонстрировать мастерство артистов, работающих на специальных снарядах и аппаратах. Многие элементы гимнастики известны со времен древности в различных странах Востока, основной же базис современной техники воздушных гимнастов был сформирован и закреплен цирковыми артистами в начале двадцатого века.В арсенал воздушной гимнастики входит работа с трапециями, кольцами, полотнами и другими конструкциями, подвешенными на определенной высоте. Конструкции могут быть как статичные, так и движущиеся.

Трюки в воздушной гимнастике исполняется либо сольно одним артистом, либо группой артистов на различных аппаратах, подвешенных над цирковым манежем. Стоит упомянуть основные инструменты воздушных гимнастов — бамбук, рамку, трапеции, кольца, петли и др.

К жанру воздушной гимнастики относятся также и номера с трюковыми перелетами артистов с трапеции на трапецию или с трапеции в руки ловитора. Воздушные полеты среди воздушных гимнастов считаются трудновыполнимой и рискованной частью воздушной гимнастики, доступной только настоящим мастерам своего дела.Регулярные занятия формируют правильную осанку, делают тело более подтянутым и упругим, укрепляют мышцы рук, ног, спины, ягодиц.Поэтому многие врачи и учёные советуют заниматься спортом, так как это очень полезно для здоровья!

4,7(10 оценок)
Ответ:
дильназ149
дильназ149
15.10.2022
)D64-Доминантовый кварт-секст аккорд. (Это второе обращение Д53). 
Строится на 2 ступени. состоит из ч4+б3 
Нижний звук идет вверх(в 3 ступень), средний остается на месте, верхний идет вверх (в 1 ступень)
Разрешается в Т63
2)S53- субдоминантовое трезвучие.
Строится на 4 ступени. Состоит из б3+м3. 
Разрешение- нижний вниз( в 3 ступень) средний вниз(в 5 ступень) верхний на месте. Разрешается в Т63
3)D7- доминантсэптаккорд.
состоит из 4х звуков, строится на 5 ступени, состоит из б3+м3+м3
Верхний звук идет вниз( в 3 ступень) второй звук(от верха) идет вверх в 1 ступень. Остальные два идут  вместе с ним, так что разрешение это терция с утроенной нижней ступенью
4,6(9 оценок)
Это интересно:
Новые ответы от MOGZ: Математика
logo
Вход Регистрация
Что ты хочешь узнать?
Спроси Mozg
Открыть лучший ответ