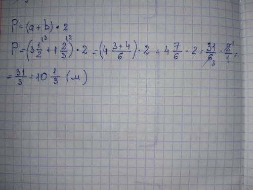
Р=10 целых 1/3 (м)
Пошаговое объяснение:
Пошаговое объяснение:
Десятичные дроби складываются по определённому правилу, нужно их складывать, чтобы запятая была под запятой, пример смотри на фотографии. Если одно число короче другого, то добавляем ноль к этому числу, которое короче.В конце сложения(вычитания), необходимо поставить запятую, тем самым отделить столько цифр, сколько отделено в каждом слагаемом.
При умножения десятичных дробей, мы этого правила вовсе не соблюдаем, тоесть решаем, как показано на фото! А вот запятую мы должны обязательно передвинуть, настолько, сколько у обоих множителей в сумме цифр после запятой, подробнее на фотографии.
Надеюсь, что понятно донесла информацию....

Сложение
они складываются как обычные числа, допустим, 01+01=02,только перед 2 мы ставим , ,и получается что 0,1+0,1=0,2
когда числа больше, допустим 1,5 и 1,7, то мы складываем 15 и 17=32 а в дес.дроби 3,2
НО если у нас есть 0,1 и 0,01,то мы должны сделать так, чтобы было одинаковое количество знаков после запятой, поэтому приписываем 0 к 0,1 и получается 0,10 Теперь складываем 0,01 и 0,10=0,11
Умножение
При умножении мы умножаем не обращая внимания на запятую, но в конце, мы переносим запятую на столько знаков, сколько в двух примерах вместе после запятой, в данном случае(на фотографии), переносим запятую на 2 знака назад. Т.е если было 611,то стало 6,11
периметр прямоугольника P=2(a+b)