М
Молодежь
К
Компьютеры-и-электроника
Д
Дом-и-сад
С
Стиль-и-уход-за-собой
П
Праздники-и-традиции
Т
Транспорт
П
Путешествия
С
Семейная-жизнь
Ф
Философия-и-религия
Б
Без категории
М
Мир-работы
Х
Хобби-и-рукоделие
И
Искусство-и-развлечения
В
Взаимоотношения
З
Здоровье
К
Кулинария-и-гостеприимство
Ф
Финансы-и-бизнес
П
Питомцы-и-животные
О
Образование
О
Образование-и-коммуникации
olgaslizova
olgaslizova
03.10.2021 05:22 •  Математика

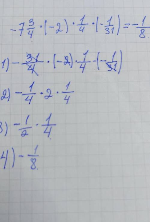
Упростите выражение -7 3/4*(-2б)*1/4*(-1/31)с. ( полное решение )​

👇
Ответ:
feitlol
feitlol
03.10.2021

это делается так


Упростите выражение -7 3/4*(-2б)*1/4*(-1/31)с. ( полное решение )​
4,6(40 оценок)
Открыть все ответы
Ответ:
texin508
texin508
03.10.2021

16,2 м² площадь двора

Пошаговое объяснение:

Двор состоит из 5 равных квадратов.

Периметр двора = 3600 см.

1. 3600 : 5 = 720 (см) периметр одного квадрата

2. 720 : 4 = 180 (см) сторона одного квадрата

3. 180*180 = 32 400 (см²) площадь одного квадрата

4. 32 400 * 5 = 162 000 (см²) площадь двора

1 м² = 10 000 см²

162 000 : 10 000 = 16,2 м² площадь двора

Или так:

Периметр двора = 3600 см = 36 м

1. 36 : 5 = 7,2 (м) периметр одного квадрата

2. 7,2 : 4 = 1,8 (м) сторона одного квадрата

3. 1,8 * 1,8 = 3,24 (м²) площадь одного квадрата

4. 3,24 * 5 = 16,2 (м²) площадь двора

4,5(48 оценок)
Ответ:
Dasha6200411
Dasha6200411
03.10.2021

Пошаговое объяснение:Нельзя. В самом деле, пусть мы k1 раз переливали воду из 1-й бочки во 2-ю первым ковшом и k2 раз переливали тем же ковшом воду из 2-й бочки в 1-ю; окончательно мы при этом перелили из 1 -й бочки во 2-ю (k1−k2)2=k⋅2 литров воды, где целое число k=k1−k2 может быть и неположительным. Аналогично, переливая воду l1 раз из 1-й бочки во 2-ю вторым ковшом и l2 раз тем же ковшом переливая воду из 2-й бочки в 1-ю, мы всего перельем из 1-й бочки во 2-ю (l1−l2)(2−2)=l⋅(2−2) литров воды, где число l - целое; поэтому условие задачи требует выполнения равенства k2+l(2−2)=1, или (l−k)2=2l−1, т. е. 2=2l−1l−k. Но так как число 2 - иррациональное, то последнее равенство может иметь место (при целых k и l), лишь если l−k=0 (т. е. l=k] и 2l−1=0, откуда l=12 , что, однако, невозможно, ибо l - целое число.

4,8(46 оценок)
Это интересно:
Новые ответы от MOGZ: Математика
logo
Вход Регистрация
Что ты хочешь узнать?
Спроси Mozg
Открыть лучший ответ