Вход
Регистрация
Спроси Mozg AI
М
Молодежь
К
Компьютеры-и-электроника
Д
Дом-и-сад
С
Стиль-и-уход-за-собой
П
Праздники-и-традиции
Т
Транспорт
П
Путешествия
С
Семейная-жизнь
Ф
Философия-и-религия
Б
Без категории
М
Мир-работы
Х
Хобби-и-рукоделие
И
Искусство-и-развлечения
В
Взаимоотношения
З
Здоровье
К
Кулинария-и-гостеприимство
Ф
Финансы-и-бизнес
П
Питомцы-и-животные
О
Образование
О
Образование-и-коммуникации
.....больше.....
..меньше..
Аленчік
27.02.2022 08:41 •
Математика
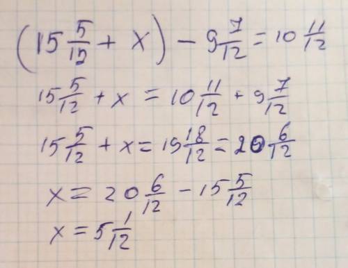
Решите уравнение: (15целых5/12+x)-9целых7/12=10целых 11/12
👇
Увидеть ответ
Ответ:
Daeshka88
27.02.2022
Надеюсь
4,8
(67 оценок)
Ответ:
andrey43201
27.02.2022
15 5/12+x= 10 11/12+ 9 7/12
15 5/12+х= 20 6/12
х=20 6/12 - 15 5/12
х= 5 1/12
4,5
(70 оценок)
Открыть все ответы
Ответ:
Gelmi
27.02.2022
3м 10м 25м 25м
4,4
(29 оценок)
Ответ:
Ziko88881
27.02.2022
3м 10м 25м 25м
4,5
(6 оценок)
Это интересно:
З
Здоровье
20.06.2022
Как восстановиться после операции на ступне...
Х
Хобби-и-рукоделие
22.09.2021
Как сделать игрушечный лук и стрелы: руководство...
Д
Дом-и-сад
16.06.2020
Как правильно заполнить бассейн: шаг за шагом...
К
Компьютеры-и-электроника
08.06.2020
Как изменить свой профиль в Pinterest: подробное руководство с шагами...
Д
Дом-и-сад
27.10.2020
Как побелить мебель: простые способы обновления старых вещей...
К
Компьютеры-и-электроника
29.03.2023
Как восстановить документ Word: готовые решения для всех случаев...
П
Питомцы-и-животные
02.01.2021
Как приучить щенка к его имени: основные правила и эффективные методы...
Д
Дом-и-сад
13.05.2022
Как укладывать ламинат: подробное руководство и советы от профессионалов...
З
Здоровье
24.03.2021
Потница: простые способы лечения и профилактика...
К
Компьютеры-и-электроника
14.11.2020
Как удалить Genieo: подробная инструкция и советы...
Новые ответы от MOGZ: Математика
Murmurvk
07.10.2021
. Множина S складається з чисел – 2, – 3, – 4, – 5. Записати цю множину за до характеристичної властивості. Назвати числа протилежні даним і записати множину отриманих чисел....
amaliyaazlzova
18.05.2023
Какое число надо умножить на 3 чтобы получилось 36...
metior
18.06.2020
32нің ⅝і = 63тің ⁴7 = 48дің ¼=...
bomicbomic
04.05.2023
ІІ часть 1. В коробке лежат шары: 5 красных и 3 белых. а) какое наименьшее число шаров надо вынуть из коробки, чтобы среди них был хотя бы 1 белый шар? б) какое наименьшее количество...
Ivan326154353
26.10.2020
Выполни действия и сократи дробь: ответ нужен сечам >...
ghhgbg
26.10.2020
с примерам этим очень вас прашу...
Niks78492986
28.04.2022
Цена одной упаковки кетчупа была равна 60 рублям. Чему станет равна цена после того, как она упадёт в два раза? Запишите ответ в рублях....
ВЛАД98878
28.03.2021
453. Теңдеуді шешіңдер: |x + 7 32 1) ; 16 25. 6 1,8 3 2) ; |x – 0, 98,5 6. 9 5, 7 3) 11,5 х + 0,51 9, 8 12, 6 4) 2,1 x — 0, 3...
Alferd
06.01.2021
5t +1,1 0,2(t-3)+2, 1-4t(t-2) 4(1-6)(t+1);...
slava98881
23.01.2021
Парною чи не парною є функція а)f(x)= x(5-|x|) б) f(x)= |x| / x^4 ?...
MOGZ ответил
6. Есепте. 5.4 18:2 3.8 2.8 6:2 3.6 5. 2 3.7 12:3 9.4 15:3 24:3 9.3 21:3 8.3...
Варіант № 1 Вкажіть складові частини кислот: А атом металу та гідроксогрупа,...
Визначити потужність двигуна підйомника якщо вантаж масою 680кг був піднятий...
Нажмите на картинку и помагите умаляю ...
Аналитическое агентство «Ежевичка» готовит отчёт по розничной торговле в городке...
В ряду чисел 5,7,15,32_.28 пропущено одно число найди его если а)мода ряда ровна...
№ 3 , 4 суреттер бойынша қажетті сөздерді пайдаланып , шағын әңгіме құр . Страница...
В Карелии огромное количество озер. Из каждого озера вытекает 3 реки, а втекает...
Синтаксический разбор И люди снова шли по улицам заколченные с чёрными лицами...
с дробями . 3 2/7×6/7; 1 1/3×4; 3 1/4×2/5; 2 1/4:3; можно и решение...
Полный доступ к MOGZ
Живи умнее Безлимитный доступ к MOGZ
Оформи подписку
О НАС
О нас
Блог
Условия пользования
Авторское право
Политика конфиденциальности
Предпочтения cookie-файлов
ПОМОЩЬ
Зарегистрируйся
Центр помощи
Центр безопасности
App
Вход
Регистрация
Что ты хочешь узнать?
Спроси Mozg
Открыть лучший ответ
×
Надеюсь