М
Молодежь
К
Компьютеры-и-электроника
Д
Дом-и-сад
С
Стиль-и-уход-за-собой
П
Праздники-и-традиции
Т
Транспорт
П
Путешествия
С
Семейная-жизнь
Ф
Философия-и-религия
Б
Без категории
М
Мир-работы
Х
Хобби-и-рукоделие
И
Искусство-и-развлечения
В
Взаимоотношения
З
Здоровье
К
Кулинария-и-гостеприимство
Ф
Финансы-и-бизнес
П
Питомцы-и-животные
О
Образование
О
Образование-и-коммуникации
vovan8881
vovan8881
05.02.2021 05:59 •  Математика

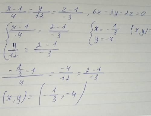
математика ! 100б
Любое задание ((9((


математика ! 100б Любое задание ((9((

👇
Ответ:
Shaman12233
Shaman12233
05.02.2021

це 1) завдання, друга фото то 3) завдання


математика ! 100б Любое задание ((9((
математика ! 100б Любое задание ((9((
4,7(87 оценок)
Открыть все ответы
Ответ:
abdrahmanova136
abdrahmanova136
05.02.2021
«Холодное сердце» — удивительное творение, в котором классические традиции студии «Walt Disney» сочетаются с новыми приятными добавками. К примеру, 3D-эффект пришелся здесь очень кстати, а кропотливая работа над анимацией принесла колоссальный успех. Кроме того, хотелось бы отметить оригинальных персонажей, которые живут в королевстве Эренделл и близлежащих окрестностях. Все они получились веселыми и смешными, как того и требовала концепция мультика.
Сюжет. В основу картины легла сказка «Снежная королева.» Но «Холодное сердце» похоже на нее лишь идеей. Сюжетная линия, а также главные герои совершенно другие. Нам расскажут историю двух сестер, которым придется столкнуться со страшным проклятием. Эльза (старшая сестра) не смогла совладать со своей магической силой и в результате превратилась в Снежную королеву, а в королевстве настала вечная зима. Теперь младшей сестре Анне предстоит найти сбежавшую волшебницу, чтобы та смогла все исправить. А в этом ей будут альпинист Кристофф, его ручной олень Свен и забавный снеговик Олаф, которого сестры слепили в далеком детстве…
Атмосфера. Сказочная, волшебная, фэнтэзийная и добрая семейная комедия абсолютно точно не даст вам заскучать. Приключенческий дух вам окончательно погрузиться в мир по другую сторону экрана, и не успеете вы прийти в себя, как уже будут идти финальные титры. К концу просмотра количество положительных эмоций во мне превысило всякие допустимые пределы и я окончательно влюбился в этот мультфильм. Чего и вам искренне желаю.
Юмор. Великолепно проработанные шутки и смешные моменты здесь присутствуют на протяжении всего времени, а их число просто зашкаливает. При этом юмор очень душевный, изящный и качественный во всех смыслах. Снеговик Олаф понравился мне больше всего. Он здесь представлен как невероятный оптимист, не унывающий ни при каких обстоятельствах. 
Музыка. Музыкальные моменты невероятно сильные и чувственные. Они до такой степени прекрасны, что входят теперь в число моих самых любимых наравне с мюзиклами из мультфильмов «Король лев» и «Мулан.» Первые минут 40 мультика вообще божественны в музыкальном плане, а момент с песней «Отпусти и забудь» (в оригинале — «Let it go») до такой степени классный, что по мне даже мурашки пробежали во время сеанса. Следующим мультипликационным фильмам, которые выйдут вслед за «Холодным сердцем», есть на что ровняться.
Итог. У меня нет слов, чтобы описать, в каком я пребываю восторге… Интересный, задорный, красочный и смешной мультфильм о том, какую огромную роль играют наши чувства в жизни. Если вы хотите поскорей почувствовать новогоднее настроение, если хотите ощутить частичку тепла и подарить ее близким, если хотите прекрасно провести время — бегом в кинотеатры. Берите с собой всю семью, любимого человека или друзей (а можно и всех сразу) и вперед! Пропустить такой шедевр — настоящее преступление!
4,7(57 оценок)
Ответ:
eandrukova567
eandrukova567
05.02.2021
Двигаясь по кругу, например , по часовой стрелке прикладываете шаблон и делаете отметки на окружности, после того, как отметите всю окружность, получится угол ровно 1 градус, при шаблоне 19 градусов, т.к. 19 * 19 = 361
Для второго случая, при шаблоне 7 градусов, проходите всю окружность и делаете отметки, после прохода всей окружности, получится угол в 3 градуса, т.к. 54*7 = 357
К одной из сторон этого угла прикладываете шаблон 7 градусов, так, чтобы угол в 3 градуса был внутри шаблона, и делаете отметку. После этого у вас будет отмерян угол в 7 градусов, внутри которого есть отметка в 3 градуса. Накладываете наблон так, чтобы он полностью накрыл отмерянный угол в 7 градусов и снова проходите полностью весь круг, после этого и получится угол в 1 градус внутри угла, разбитого на 3 и 4 градуса.
4,5(41 оценок)
Это интересно:
Новые ответы от MOGZ: Математика
logo
Вход Регистрация
Что ты хочешь узнать?
Спроси Mozg
Открыть лучший ответ