М
Молодежь
К
Компьютеры-и-электроника
Д
Дом-и-сад
С
Стиль-и-уход-за-собой
П
Праздники-и-традиции
Т
Транспорт
П
Путешествия
С
Семейная-жизнь
Ф
Философия-и-религия
Б
Без категории
М
Мир-работы
Х
Хобби-и-рукоделие
И
Искусство-и-развлечения
В
Взаимоотношения
З
Здоровье
К
Кулинария-и-гостеприимство
Ф
Финансы-и-бизнес
П
Питомцы-и-животные
О
Образование
О
Образование-и-коммуникации
The0ruyman
The0ruyman
05.03.2023 05:37 •  Математика

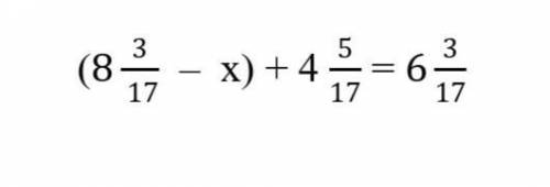
Решите уравнение:. (8 3/17 – х) + 4 5/17 = 6 3/17​


Решите уравнение:. (8 3/17 – х) + 4 5/17 = 6 3/17​

👇
Ответ:
sugurbaeva2002
sugurbaeva2002
05.03.2023

ответ и решение на фотографии:


Решите уравнение:. (8 3/17 – х) + 4 5/17 = 6 3/17​
4,7(37 оценок)
Открыть все ответы
Ответ:
kategarkysha
kategarkysha
05.03.2023
Если x=0,19,то (0,3672x+0,02)-0,3572x=(0,3672×0,19+0,02)-0,3572×0,19=(0,069768+0,02)-0,067868=0,089768-0,067868=0,0219.
Если x=0,19,то (0,7345x+0,04)-0,7245x=(0,7345×0,19+0,04)-0,7245×0,19=(0,139555+0,04)-0,137655=0,179555-0,137655=0,0419
Если x=100,то (0,3672x+0,02)-0,3572x=(0,3672×100+0,02)-0,3572×100=(36,72+0,02)-35,72=36,74-35,72=1,02.
Если x=100,то (0,7345x+0,04)-0,7245x=(0,7345×100+0,04)-0,7245×100=(73,45+0,04)-72,45=73,49-72,45=1,04.
Если x=0,01,то (0,3672x+0,02)-0,3572x=(0,3672×0,01+0,02)-0,3572×0,01=(0,003672+0,02)-0,003572=0,023672-0,003572=0,0201.
Если x=0,01, то (0,7345x+0,04)-0,7245x=(0,7345×0,01+0,04)-0,7245×0,01=(0,007345+0,04)-0,007245=0,047345-0,007245=0,0401.
4,5(56 оценок)
Ответ:
1505123Diana1505123
1505123Diana1505123
05.03.2023
Если x=0,19,то (0,3672x+0,02)-0,3572x=(0,3672×0,19+0,02)-0,3572×0,19=(0,069768+0,02)-0,067868=0,089768-0,067868=0,0219.
Если x=0,19,то (0,7345x+0,04)-0,7245x=(0,7345×0,19+0,04)-0,7245×0,19=(0,139555+0,04)-0,137655=0,179555-0,137655=0,0419
Если x=100,то (0,3672x+0,02)-0,3572x=(0,3672×100+0,02)-0,3572×100=(36,72+0,02)-35,72=36,74-35,72=1,02.
Если x=100,то (0,7345x+0,04)-0,7245x=(0,7345×100+0,04)-0,7245×100=(73,45+0,04)-72,45=73,49-72,45=1,04.
Если x=0,01,то (0,3672x+0,02)-0,3572x=(0,3672×0,01+0,02)-0,3572×0,01=(0,003672+0,02)-0,003572=0,023672-0,003572=0,0201.
Если x=0,01, то (0,7345x+0,04)-0,7245x=(0,7345×0,01+0,04)-0,7245×0,01=(0,007345+0,04)-0,007245=0,047345-0,007245=0,0401.
4,8(72 оценок)
Новые ответы от MOGZ: Математика
logo
Вход Регистрация
Что ты хочешь узнать?
Спроси Mozg
Открыть лучший ответ