М
Молодежь
К
Компьютеры-и-электроника
Д
Дом-и-сад
С
Стиль-и-уход-за-собой
П
Праздники-и-традиции
Т
Транспорт
П
Путешествия
С
Семейная-жизнь
Ф
Философия-и-религия
Б
Без категории
М
Мир-работы
Х
Хобби-и-рукоделие
И
Искусство-и-развлечения
В
Взаимоотношения
З
Здоровье
К
Кулинария-и-гостеприимство
Ф
Финансы-и-бизнес
П
Питомцы-и-животные
О
Образование
О
Образование-и-коммуникации
vitokle
vitokle
10.07.2020 12:14 •  Математика

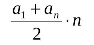
Найдите сумму всех точных чисел с 1 до 133​

👇
Ответ:
ЯМС
ЯМС
10.07.2020

8911

Пошаговое объяснение:

((133+1)/2)*133=8911

формула суммы n-первых членов арифметической прогрессии


Найдите сумму всех точных чисел с 1 до 133​
4,5(69 оценок)
Открыть все ответы
Ответ:
kirillkleptzov
kirillkleptzov
10.07.2020
Russland, Russland - meine große Mutterland! Anreise zum ersten Mal in Russland beeinflussen Weiten endlos Erweiterung der Felder und Wälder. Ja, und ich muss zugeben, ich weiß nicht aufhören, um ihre Schönheit zu bewundern. Jede Zeit des Jahres ist gut, aber vor allem im Sommer magische Kreis - feste Grasmatten, und sie ändern sich ständig: im Frühjahr Kräuter beleben goldenen gelben Löwenzahn, dann kommt die Wende rosa und weißen Klee, Kornblume, Gänseblümchen, blühenden Klee, Mutter und Stiefmutter - Haben Sie alles, was Sie Namen, die in Wiesen gefunden werden können denken.    Und über all diese Schönheit Lerchen. Es ist schön, ein Feld an einem hellen sonnigen Tag. Mein Herz - ein Urlaub, aber ansonsten, wenn ringsum Art von Magie. Ich kann nicht umhin, weben einen Wreath von Wildflowers. Unter den Wiesen ein kleiner Bach schlängelt, Rekusha, Wasser auf den durchschlagenden Kieselsteine ​​gegossen, läuft Spaß an der Wolga. Hier und da das ganze Dickicht von gelben Seerosen, aber die Hand nicht erheben, um sie zu stören, diese Schönheit zu zerstören. Im Wasser sind sie einzigartig charmanten, ist man von der Vielfalt der Landpflanzen geschlagen.

Россия, Русь — моя великая родина! Приехавшего впервые в Россию поражают бескрайние просторы, бесконечно тянущиеся поля и леса. Да и меня, признаться, не перестают восхищать ее красоты. Любое время года хорошо, но летом особенно волшебно кругом — сплошные травяные ковры, причем они постоянно меняются: ранней весной нежную зелень оживляют золотисто-желтые одуванчики, потом приходит черед розовой и белой кашки, васильков, ромашек, цветущего клевера, мать-и-мачехи — да разве все перечислишь, что можно встретить в лугах.     А надо всей этой красотой заливаются жаворонки. Приятно идти полем в яркий солнечный день. На душе — праздник, а как иначе, когда кругом такое волшебство. Я не могу удержаться и сплетаю венок из полевых цветов. Среди луга вьется небольшая речка, Рекуша, вода звонко переливается по камешкам, весело бежит к Волге. Местами встречаются целые заросли желтых кувшинок, но рука не поднимается сорвать их, уничтожить эту красоту. В воде они неповторимо прелестны, поражаешься многообразию земных растений. 
4,4(49 оценок)
Ответ:
1Haritoshka
1Haritoshka
10.07.2020
1) 35т600кг+46т400кг=82(т) нефти взяли                                                            2) 120-82=38(т) нефти в двух резервуарах                                                         3) 38:2=19( по 19(тонн) нефти осталось  в каждом резервуаре)                          4) 19т+35т600кг=54т600кг нефти было в 1 резервуаре                                       5) 19т+46т400кг=65т400кг нефти было во 2 резервуаре                                       ответ: В 1 резервуаре было 54т600кг нефти сначала, во 2 резервуаре было 65т400кг нефти сначала.                                               
4,4(46 оценок)
Новые ответы от MOGZ: Математика
logo
Вход Регистрация
Что ты хочешь узнать?
Спроси Mozg
Открыть лучший ответ